网站首页  词典首页

请输入您要查询的字词:

 

字词 胸辊的尺寸及强度、挠度和中高计算
类别 中英文字词句释义及详细解析
释义 胸辊的尺寸及强度、挠度和中高计算

1.胸辊的直径计算

表1-15-23 案辊直径尺寸范围

a-成形网张力在辊体上的合力 b-以上合力与辊体重量的合力

(2)成形网全幅张力合力Qz与辊体重量G的合力计算

【说明】 见图1-15-28b

【公式】

式中 M——合成弯矩(N·m)

Mv——铅直面内的诸载荷在辊筒中心横截面上产生的最大弯矩(N·m)

Mv=Mg+Mp (1-15-235)

Mg——由qg产生的在辊筒中心横截面上的最大弯矩(N·m)

qg——由辊体重量G产生的均布载荷(N/m)

b——辊面宽(m)

Mp——由P1和P2产生的在辊筒中心横截面上的最大弯矩(N·m)

Mp=P1a1+P2a2 (1-15-237)

P1、P2——分别表示轴头重量和闷头重量(N)

a1、a2——分别表示轴头重量p1作用于辊体上相距支点的距离及闷头重量p2作用于相距支点的距离(m)

Mq——成形网张力合力在胸辊中心截面上产生的最大弯矩(N·m)

其它符号含义及单位同上

【注意】 对于真空胸辊的鼓筒合成弯矩的计算,还应考虑真空箱吸力和流浆箱突唇喷嘴式上浆装置下浆流压力所产生的均布载荷的弯矩Mx,应作为第三项加入到Mv中。

式中 qx——均布载荷强度(N/m)

∑P——每一真空室算出的压力之和(N)

Bx——均布载荷qx作用于铅直面内均布的抽吸面宽(m)

P——真空箱的吸力和流浆箱突唇喷嘴式上浆装置下浆流压力(N)

P=pF(N) (1-15-241)

F——真空箱口的面积(m2)

F=BxC (1-15-242)

C——真空箱的真空室宽度(沿纸机纵向)(m)

p——真空箱吸力与浆流压力之和(Pa)

p=p1+p2 (1-15-243)

p1——真空室内的真空度(Pa)

p2——浆流压力(Pa)

Vw——网速(m/s)

γ——浆的重度(γ=9810N/m3)

g——重力加速度(9.81m/s2)

(4)胸辊在中心横截面上的截面模数计算

【公式】

式中 W——截面模数(m3)

D——胸辊在包胶或镀铜前的外径或真空胸辊鼓筒外径(m)

D1——胸辊辊体钢管或鼓筒的内径(m)

(5)胸辊的最大弯曲应力计算

【公式】

式中 σw——最大弯曲应力(Pa)

其它同上

4.胸辊的挠度计算

【说明】 胸辊的挠度计算同其强度计算一样,也应按所受各作用力来考虑。

【公式】

式中 fv——铅直面上的挠度(m)

fg——由辊体重量G产生的均布载荷所引起的挠度(m)

fx——真空胸辊由于吸力和浆流压力造成的挠度(m)

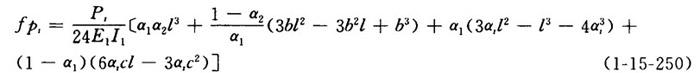
∑fpi——轴头重量p1和闷头重量p2等集中载荷所产生的挠度(m),见式1-15-250

fq——成形网张力合力所在平面上产生的挠度(m)

γ——强力合力所在平面与铅直面的夹角(度)

∑fpi可用下式计算:

式中 fpi——某一集中载荷所产生的挠度(m)

Pi——集中载荷,在此为单侧轴头重量P1或单侧闷头重量P2(N)

E1I1——辊体在两端闷头以内的中间段的刚度(N·m2)

b——辊面宽(m)

l——辊的轴承中心距(m)

c——辊体在两端闷头以内的中间段的长度(m)

αi——对称的集中载荷Pi距两端支点的距离(m)

α1、α2——辊筒各段刚度之比

E2I2、E3I3——分别为闷头段及轴头伸出段的刚度(N·m2)

5.胸辊的中高计算

【说明】 因胸辊的挠曲会使喷上成形网的浆流分布不均匀而导致成形质量不良,故胸辊多有中高,就是辊筒中心横截面上的直径大于辊筒辊面两端的直径。

(1)一般胸辊的中高计算

【公式】

K=Dm-De=2f (1-15-253)

式中 K——中高(m)

Dm——胸辊中心横截面上的直径(m)

De——胸辊辊体端面上的直径(m)

f——胸辊的总挠度(m),见式1-15-247

(2)中固辊中高的计算

【公式】

K=Dm-De=2f′ (1-15-254)

式中 K、Dm、De——同上

f′——辊面两端相对于辊筒中心横截面的挠度(m)

f′=[3b4-(1-d)(12b3c-6b2c2+4bc3-3c4)+12b2c2-8bc3-12αblc(2b-c)] (1-15-255)

式中 q——由成形网全幅张力合力和辊重合成的均布载荷(N/m)

E2I2——辊筒外辊壳的刚度(N·m2)

l——辊的轴承中心距(m)

b——辊筒受均布载荷的面宽,即取为辊面宽度(m)

c——辊筒外辊壳固装在芯轴上的中固段的长度(m)

α——辊筒刚度比,对于起抗挠及舒展作用的中固辊结构的胸辊,通常在设计中取

E1I1——辊筒在中固段中的刚度(N·m2)

随便看

 

文网收录3541549条中英文词条,其功能与新华字典、现代汉语词典、牛津高阶英汉词典等各类中英文词典类似,基本涵盖了全部常用中英文字词句的读音、释义及用法,是语言学习和写作的有利工具。

 

Copyright © 2004-2024 Ctoth.com All Rights Reserved
京ICP备2021023879号 更新时间:2025/10/17 19:34:38