能量均分定律
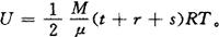
又称能量均分定理。 该定理指出:在热平衡状态下,物质分子(气体,固体和液体)的每个自由度都具有相同的平均动能,其大小等于 KT。自由度是指决定分子运动位置的独立坐标数,它包括决定空间位置的三个独变量和转动位置的三个转动坐标和振动坐标。若由N个分子构成的体系有3N个独立坐标,其中包括3个平动自由度,3个转动自由度,3N-6个振动自由度。 能量均分定理指出了分子体系的宏观总能量按自由度分配的平均效果,这完全是宏观统计效果。 对于某个具体分子在某一瞬间所具有的动能和总能量跟按能量均分定理所确定的能量会有很大差别,而对大量分子的平均效果或统计效果是一定的,因此能量均分定理是一个具有统计意义的宏观量。个别分子虽然有很大起伏,但在大量分子相互碰撞中能量传递和转移,达到平衡状态时,总能量按自由度的分配遵守均分定理。 此系数的大小与国民经济结构、能源利用率、科学技术和管理水平及人民的消费水平等因素有关。一般说,一个国家工业化初期,该系数大于1,即能源的增长速度大于国民经济发展速度;随著经济结构的改变,管理水平的提高,科学技术的发展,以及能按能量均分定理可以准确地得到大量分子体系的宏观热运动参量。 若体系平均动能为 KT,平均转动能为 KT,平均振动能为 KT,则平均总能量为 (t+r+s)KT,体系总内能为  进而得到体系热容量Cr= (t+r+s)R。 |