腐霉利
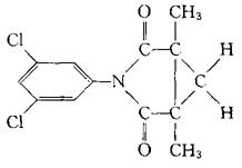
又称菌核酮、速克灵。 二甲酰亚胺类杀菌剂。化学名称:N(3,5-二氯苯基)-1,2-二甲基环丙烷-1,2,二羰基亚胺。化学结构式如下。原药白色结晶,微溶于水,可溶于丙酮、二甲苯,在日光和潮湿条件下稳定。 内吸性杀菌剂。对葡萄孢霉菌和核盘菌有特效,特别是对多菌灵类产生抗药性菌的地区,可以换用此药。用于防治蔬菜、果树、花卉灰霉病、菌核病等。内吸活性较弱,残效期5星期左右。 药剂作用于菌体细胞膜,阻碍菌体内高分子生物合成,对植物安全,对人畜低毒,小鼠(♀)急性口服LD50为9100mg/kg,经皮LD50>10000mg/kg,慢性毒性,致突变,致畸及三个世代繁殖试验均未发现不良影响。 
|