网站首页  词典首页

请输入您要查询的字词:

 

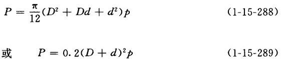
字词 膜式气动加压提升机构附加压力的计算
类别 中英文字词句释义及详细解析
释义 膜式气动加压提升机构附加压力的计算

【说明】 膜式气动加压装置具有结构简单,没有滑动密封件,机械效率高,惯性小,柔性好等优点,故被广泛采用。其缺点是不能传递过大的压力,使用的压缩空气压力一般不超过500~600kPa(5~6kgf/cm2)。橡胶膜片传递的压力有下列两种计算方法。式1-15-289为近似计算公式。

【公式】

式中 P——橡胶膜片传递的压力(N)

p——压缩空气表压(Pa)

D——膜片工作直径(m)

d——顶盘直径(m)

随便看

 

文网收录3541549条中英文词条,其功能与新华字典、现代汉语词典、牛津高阶英汉词典等各类中英文词典类似,基本涵盖了全部常用中英文字词句的读音、释义及用法,是语言学习和写作的有利工具。

 

Copyright © 2004-2024 Ctoth.com All Rights Reserved
京ICP备2021023879号 更新时间:2026/4/17 14:52:49