网站首页  词典首页

请输入您要查询的字词:

 

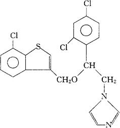
字词 舍他康唑
类别 中英文字词句释义及详细解析
释义 舍他康唑

C20H15Cl3N2OS=437.77

CAS-99592-32-2

(±)-1-[2,4-二氯-β-[(7-氯苯并[b]噻吩-3-基)甲氧]苯乙基]咪唑。

(±)-1-[2,4-Dichloro-β-[(7-chlorobenzo[b]thien-3-yl)methoxy]phenethyl]imidazole.

抗真菌药。

Sertaconazole.

INN,USAN.

随便看

 

文网收录3541549条中英文词条,其功能与新华字典、现代汉语词典、牛津高阶英汉词典等各类中英文词典类似,基本涵盖了全部常用中英文字词句的读音、释义及用法,是语言学习和写作的有利工具。

 

Copyright © 2004-2024 Ctoth.com All Rights Reserved
京ICP备2021023879号 更新时间:2026/4/17 15:05:03