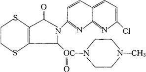
舒立克隆
C20H20ClN5O3S2=477.98 CAS-53813-83-5 4-甲基-1-哌嗪羧酸与(±)-6-(7-氯-1,8-二氮杂萘-2-基)-2,3,6,7-四氢-7-羟基-5H-对-二硫酮[2,3-c]吡咯-5-酮形成的酯。 4-Methyl-1-piperazinecarboxylic acid ester with(±)-6-(7-chloro-1,8-naphthyridin-2-yl)-2,3,6,7-tetrahydro-7-hydroxy-5H-p-dithiino[2,3-c]pyrrol5-one. 6-(7-氯-1,8-二氮杂萘-2-基)-2,3.6,7-四氢-7-氧代-5H-[-1,4]-二硫酮[2,3-c]吡咯-5-基4-甲基哌嗪-1-羧酸酯。 6-(7-Chloro-1,8-naphthyridin-2-yl)-2,3,6,7-tetrahydro-7-oxo-5H-[1,4]dithiino[2,3-c]pyrrol-5-yl 4-methylpiperazine-1-carboxylate. 抗焦虑药,催眠药。 Suriclone,Clexane,RP 31264. INN,BAN,USAN,MI. 
|