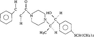
舒那格雷
C25H32N2O2S=424.60 CAS-85418-85-5 赤式-4-肉桂酰-1-对-(异丙基硫代)苯-β-甲基-1-哌嗪乙醇。 erythro-4-Cinnamoyl-1-p-(isopropylthio)phenyl-β-methyl-1-piperazineethanol. 1-(4-异丙基硫代苯基)-2-(4-肉桂酰哌嗪-1-基)-1-丙醇。 1-(4-Isopropylthiophenyl)-2-(4-cinnamoylpipera-zine1-yl)-1-propanol. 抗凝药。 Sunagrel,MG 23010. INN,DCIT,USAN. 
|