艾沙莫坦
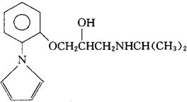
C16H22N2O2=274.36 CAS-55050-95-8 (±)-1-(异丙氨基)-3-(邻-吡咯-1-基苯氧)-2-丙醇。 (±)-1-(Isopropylamino)-3-(o-pyrrol-1-ylphenoxy)-2-propanol. (±)-1-[1-(1-甲基乙基)氨基]-3-[2-(1H-吡咯-1-基)-苯氧]-2-丙醇。 (±)-1-[1-(1-Methylethyl)amino]-3-[2-(1H-pyrrol1-yl)phenoxy]-2-propanol. 抗焦虑药,安定药。 Isamoltan. INN,SUAN.  |