节点(电压)法
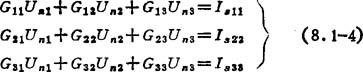
节点法是以节点电压作为未知量,根据克希荷夫电流定律列出节点电压方程。它与支路法相比,可省略m个回路方程,只要列(n-1)个节点方程,从而简化了计算。 用节点法求解的一般步骤是:如电路中有电压源,应先将电压源变换为电流源。若电路中有恒压源,则将恒压源电压作为节点的已知电压。然后选定参考节点,并认为参考节点的电压值为零,则其余节点与参考点间的电压就是节点电压(也即节点电位);若电路有4个节点(更多节点可依此类推),则可列出3个节点电压方程,其标准化的形式为   式中 Un1、Un2、Un3为节点电压;G11、G22、G33称为自电导,总为正值;G12、G21、G13、G31、G23、G32称为互电导,总为负值;Is11、Is22、Is33分别为连接节点1、2、3的电源电流的代数和,当电源的电流流向该节点时,其前取正号,反之取负号。 联立求解节点电压方程组,解出各节点电压后,标出各支路电流正方向,根据欧姆定律,由节点电压即可求出各支路电流。 对于只有两个节点的电路,取其中一个节点作为参考节点,另一个节点的电压若设为Un,则该节点的电压方程称为弥尔曼定理,其形式为 式中 ∑Isnn为电路中电压源都变换为电流源后,各电流源流入和流出该节点的电流的代数和,其中流入的电流为正,流出的电流为负;∑Gnn为电路中各支路电导之和。 |