苄星青霉素G[中]
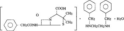
(C16H18N2O4S)2·C16H20N2·4H2O=981.22 CAS-41372-02-5 苄基青霉素N,N′-二苄基乙二胺盐(2∶1)四水化合物。 N,N′-Dibenzylethylenediamine salt of benzylpenicillin(2∶1)tetrahydrate. 抗生素类药。用于预防葡萄球菌、链球菌、肺炎球菌、淋球菌、脑膜炎球菌及螺旋体等感染。 苄星青霉素,二苄基乙二胺苄青霉素(台),长效青霉素,比西林。 Benzathine Benzylpenicillin,Enzathine Benzyl Penicillin G,Penicillin G Benzathine Bicillin,Benzathine Penicillin G. 注射用苄星青霉素G,苄乙二胺青霉素注射悬液(台),注射用苄星青霉素。 INN,BAN,BP,DCF,DCIT,EP,GDP,GFP,JP,NFN,USAN,USP,MI. 
|