苯培诺赖
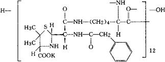
C264H350K12N48O61S13=6025.85 CAS-61990-92-9 N6-[D-2-[(2R,4S)-4-羧基-5,5-二甲基-2-噻唑烷基]-N-(苯乙酰基)甘氨酰]-L-赖氨酸单钠盐,十二肽。 N6-[D-2-[(2R,4S)-4-Carboxy-5,5-dimethyl-2-thiazolidinyl]-N-(phenylacetyl)glycyl]-L-lysinemonopotassium salt,dodecapeptide. 诊断用药。 十二肽钾盐。 INN,USAN. 
|