茯苓皮
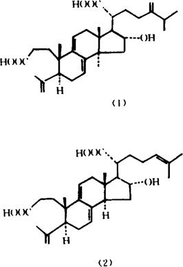
【概况】: 基源 为多孔菌科卧孔属真菌茯苓的菌核外皮。 原植物 茯苓Poria cocos(Schw.)Wolf 余项参见“茯苓”条。 【生药】: 采集、产地见“茯苓”条。 鉴别 本品多为长条状,大小不,外表面黑褐色或棕褐色,有疣状突起,内部白色或灰棕色。体软质松,具弹性。 贮藏 置干燥处。 。 【化学】: 1991年有人从茯苓皮中分得两个新的三萜成分Poricoic Acid A(1)和B(2)。  参考文献 Phytochemistry 1991;30(8)∶2796 【药性】: 性味 甘、淡,平。 《四川中药志》:“平,甘、淡。” 功效 利水,消肿。 主治 水肿肤胀,小便不利。 ❶ 《纲目》:“主水肿肤胀,开水道,开腠理。” ❷ 《医林纂要》:“行皮肤之水。” 用法用量 内服:煎汤,9~15g。 。【临床应用】: 方选和验方 ❶ 五皮散(《中藏经》)治男子妇人脾胃停滞,头面四肢悉肿,心腹胀满,上气促急,胸膈满闷,痰延上壅,饮食不下,行步气奔,状如水病:茯苓皮、生姜皮、桑白皮、陈橘皮、大腹皮各等份。 上为粗末,每服9g,水煎,去渣,不拘时候温服。忌生冷油腻硬物。 ❷ 《经验良方》:“治水肿:茯苓皮、椒目2味不拘多少,水煎服。” ❸ 《实用中药手册》:“治水肿胀满,小便短赤:茯苓皮、泽泻各15g,水煎服。”。【医药家论述】: 《中国医学大辞典》:“茯苓皮行水而不耗气,胜似大腹皮。” |