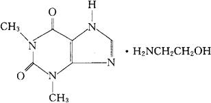
茶碱乙醇胺
C7H8N4O2·C2H7NO=241.25 CAS-573-41-1 CAS-58-55-8(theophylline) 3,7-二氢-1,3-二甲基-1H-嘌呤-2,6-二酮,与2-氨基乙醇(1∶1)的化合物。 3,7-Dihydro-1,3-dimethyl-1H-purine-2,6-dione, compd with 2-aminoethanol(1∶1). 茶碱与2-氨基乙醇(1∶1)的化合物。 Theophylline compound with 2-aminoethanol(1∶1). 利尿药,心脏兴奋药,平滑肌松驰药和血管扩张药。 Theophylline Olamine,Monotheamin,Theamin. USAN,USP.  |