茶碱[典]
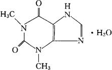
C7H8N4O2·H2O=198.18 CAS-5967-84-0 3,7-二氢-1,3-二甲基-1H-嘌呤-2,6-二酮一水化合物。 3,7-Dihydro-1,3-dimethyl-1H-purine-2,6-dione monohydrate. 茶碱一水化合物。 Theophylline monohydrate. 平滑肌松弛药。 用于支气管性和心脏性哮喘,心源性水肿。 Theophylline,Theograd,1,3-Dimethylxanthine,Elixophyllin,Theocin. 茶碱控释片,汞撒利茶碱注射液。 BP,DCIT,FP,USAN,USP,MI.  |