网站首页  词典首页

请输入您要查询的字词:

 

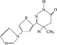
字词 莫他匹酮
类别 中英文字词句释义及详细解析
释义 莫他匹酮

C12H12N4OS=260.31

CAS-90697-57-7

(±)-4,5-二氢-6-(4-咪唑-1-基-2-噻吩基)-5-甲基-3±(2H)-哒嗪酮。

(±)-4,5-Dihydro-6-(4-imidazol-1-yl-2-thienyl)-5-methyl-3(2H)-pyridazinone.

抗高血压药,抗血栓药。

Motapizone,NAT 05-239,NAT 05-239.

INN,USAN.

随便看

 

文网收录3541549条中英文词条,其功能与新华字典、现代汉语词典、牛津高阶英汉词典等各类中英文词典类似,基本涵盖了全部常用中英文字词句的读音、释义及用法,是语言学习和写作的有利工具。

 

Copyright © 2004-2024 Ctoth.com All Rights Reserved
京ICP备2021023879号 更新时间:2025/10/19 19:56:49