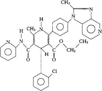
莫地帕芬
C34H29ClN6O3=605.10 CAS-122957-06-6 (+)-(R)-4-(邻-氯苯基)-1,4-二氢-6-甲基-2-[对-(2-甲基-1H-咪唑并[4,5-0]吡啶-1-基)苯基]-5-(2-吡啶基氨基甲酰基)烟酸乙酯。 Ethyl(+)-(R)-4-(o-chlorophenyl)-1,4-dihydro-6-methyl-2-[p-(2-methyl-1H-imidazo[4,5-0]pyridin1-yl)phenyl]-5-(2-pyridylcarbamoyl)nicotinate. Modipafant,UK-80067. INN,BAN,USAN.  |