网站首页  词典首页

请输入您要查询的字词:

 

字词 莫罗卡奈
类别 中英文字词句释义及详细解析
释义 莫罗卡奈

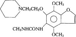
C19H27N3O5=377.44

CAS-66203-94-9

1-[4,7-二甲氧-6-(2-哌啶代乙氧)-5-苯并呋喃基]-3-甲脲。

1-[4,7-Dimethoxy-6-(2-piperidinoethoxy)-5-benzofuranyl]-3-methylurea.

抗心律失常药,强心药。

莫罗卡尼。

Murocainide,ND 750819.

INN,USAN.

随便看

 

文网收录3541549条中英文词条,其功能与新华字典、现代汉语词典、牛津高阶英汉词典等各类中英文词典类似,基本涵盖了全部常用中英文字词句的读音、释义及用法,是语言学习和写作的有利工具。

 

Copyright © 2004-2024 Ctoth.com All Rights Reserved
京ICP备2021023879号 更新时间:2025/10/17 18:28:18