莫能星
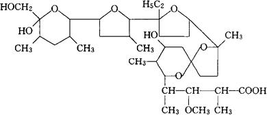
C36H62O11=670.88 CAS-17090-79-8 2-[2-乙基八氢-3′-甲基-5′-[四氢-6-羟-6-(羟甲基)-3,5-二甲基-2H-吡喃-2-基][2,2′-联呋喃-5-基]]-9-羟-β-甲氧-α,γ,2,8-四甲基-1,6-二氧杂螺[4,5]十烷-7-丁酸的立体异构体。 Stereoisomer of 2-[2-ethyloctahydro-3′-methyl-5′-[tetrahydro-6-hydroxy-6-(hydroxymethyl)-3,5-dimethyl-2H-pyran-2-yl][2,2′bifuran-5-yl]]-9-hydroxy-β-methoxy-α,γ,2,8-tetramethyl-1,6-dioxaspiro[4,5]decan-7-butanoic acid. 抗感染药,抗原虫症、抗菌、抗真菌药。 Monensin,Coban(asSodium salt),Rumensin(as Sodium salt). INN,BAN,NFN,USAN,MI.  |