网站首页  词典首页

请输入您要查询的字词:

 

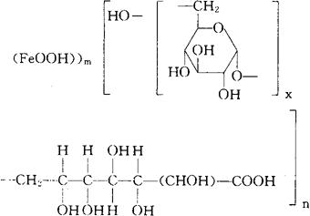
字词 葡庚醣酐铁
类别 中英文字词句释义及详细解析
释义 葡庚醣酐铁

(FeOOH)m[HO-(c6H10O5)x-C7H13O7n

CAS-57680-55-4

葡庚醣酐铁。

Gleptoferron.

抗贫血药。

Gleptoferron,Gleptosil,Heptomer,Iron Heptonate.

INN,BAN,USAN.

随便看

 

文网收录3541549条中英文词条,其功能与新华字典、现代汉语词典、牛津高阶英汉词典等各类中英文词典类似,基本涵盖了全部常用中英文字词句的读音、释义及用法,是语言学习和写作的有利工具。

 

Copyright © 2004-2024 Ctoth.com All Rights Reserved
京ICP备2021023879号 更新时间:2025/10/17 11:12:28