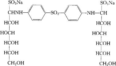
葡胺苯砜钠
C24H34N2Na2O18S3=780.71 CAS-554-18-7 1,1′-[磺酰双(4,1-亚苯基亚胺)]双[1-葡糖基-2,3,4,5,6-五羟-1-己烷磺酸]二钠。 Disodium1,1′-[sulfonylbis(4,1-phenyleneimino)]bis[1-gluco-2,3,4,5,6-pentahydroxy-1-hexaneolfonate]. 抗麻风病药。用于治疗麻风病。 葡萄胺苯砜钠,普洛明。 Sodium Glucosulfone,Promin,Protomin,Promanide,Didextron Sulfone. USP.  |