网站首页  词典首页

请输入您要查询的字词:

 

字词 葱白
类别 中英文字词句释义及详细解析
释义 葱白

【概况】:

异名 葱茎白(《纲目》),葱白头(《药品化义》)。

基源 为百合科葱属植物葱的鳞茎。

原植物 葱Allium fistulosum L.

余项参见“葱”条。

。【化学】:

鳞茎含挥发油,油中主要成分为大蒜辣素(Allicin);又含二烯丙基硫醚(Diallyl sulfide)。

叶鞘和鳞片细胞中有草酸钙结晶体。鳞茎又含维生素C97mg%(湿重计)、维生素B1、维生素B2、烟酸、痕量的维生素A、脂肪油和粘液质。脂肪油中含棕榈酸、硬脂酸、花生酸(Arachidic acid)、油酸和亚油酸。粘液汁中主要成分为多糖类,其中有20%纤维素、3%半纤维素、41%原果胶(Protopectin)及24%水溶性果胶(Pectin)[1]

另据报道,大葱鳞茎分离得甲基蒜氨酸(Methylalliin,C5H8O3NS)、丙基蒜氨酸(Propylalliin,C6H13O3NS);另含挥发油,油中含二硫化物及多硫化物。丙基蒜氨酸经蒜酶分解产生四氢大蒜辣素(Tetrahydroallicin),再经水蒸汽蒸馏产生二丙基二硫化物(Dipropyldisulfide),另产生硫丙醛(Thiopropionaldehyde)。还分离得S-烯丙基巯基-半胱氨酸(S-Allylmercaptocysteine)、S-甲基巯基-半胱氨酸(S-Methylmercaptocysteine)[2]

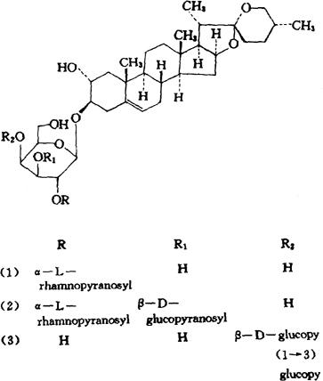
从地下部分到三个新的丝兰皂甙元(Yuccagenin)的糖甙:大葱甙(Fistuloside)A(1),B(2),C(3)及已知物薯蓣皂甙元(Diosgenin)的糖甙:薯蓣皂甙(Dioscin)和皂甙P-d(Saponin P-d)[3]

参考文献 [1] 江苏新医学院.中药大辞典.下册.上海人民出版社,1977∶2316 [2] 南京药学院.中草药学.下册.江苏科学技术出版社,1987∶1280 [3] J Nat Prod 1992;55(2)∶168

。【药理】:

葱白榨汁,35,70,140g/kg,ig可增加雄性小鼠交尾和血浆睾丸酮含量,以及包皮腺、前列腺及精囊腺重量[1]。葱白水浸剂(1∶1)在试管内对堇色毛癣菌、同心性毛癣菌、许兰氏黄癣菌、石膏样小芽胞菌、腹股沟表皮癣菌、红色表皮癣菌、K·w氏表皮癣菌、紧密著色芽生菌、星形奴卡氏菌等有抑制作用[2]

参考文献 [1] 西北药学杂志 1994;9(2);70 [2] 中华皮肤科杂志 1957;5(4)∶286

【药性】:

性味 辛,温。

❶ 《素问》:“辛。”
❷ 《别录》:“平。”
❸ 张元素:“味辛而甘,平。”
❹ 李杲《食物本草》:“味辛,平。”
❺ 《本草蒙筌》:“味辛,气温。”

归经 入肺、胃经。

❶ 张元素:“入手太阴、足阳明经。”
❷ 《雷公炮制药性解》:“入肺、胃、肝三经。”

功效 发表,通阳,解毒。

主治 伤寒寒热头痛,阴寒腹痛,虫积内阻,二便不通,痢疾,痈肿。 ❶ 《本经》:“主伤寒热,出汗中风,面目肿。”
❷ 《别录》:“治伤寒骨肉痛,喉痹不通,安胎。”
❸ 《日华子本草》:“治天行时疾,头痛热狂,通大小肠,霍乱转筋及贲豚气,脚气,心腹痛,目眩及止心迷闷。”
❹ 孟诜:“通关节,止衄血,利大小便。”
❺ 李杲:“治阳明下痢下血。”
❻ 《用药心法》:“通阳气,发散风邪。”
❼ 《本草蒙筌》:“蛇伤,蚯蚓伤,和盐罯即解。”
❽ 《纲目》:“除风湿,身痛麻痹,虫积心痛,止大人阳脱,阴毒腹痛,小儿盘肠内钓,妇人妊娠溺血,通奶汁,散乳痈,利耳鸣,涂猘犬毒。”

用法用量 内服:煎汤,9~15g,或煮酒。外用:捣敷,炒熨,煎水洗或塞耳、鼻窍中。

使用注意 表虚多汗者忌服。 ❶ 《千金·食治》:“食生葱即啖蜜,变作下利。”
❷ 《食疗本草》;“上冲人,五脏闭绝。虚人患气者,多食发气。


❸ 《履巉岩本草》:“久食令人多忘,尤发痼疾。狐臭人不可食。”
❹ 《本草经疏》:“病人表虚易汗者勿食,病已得汗勿再进。”
❺ 《纲目》:“服地黄、常山人,忌食葱。”

。【临床应用】:

配伍应用 ❶ 配豆豉,治外感初起恶寒发热、无汗等症。

❷ 配紫苏,治感冒风寒初起。
❸ 配生姜,或与白芷同用,治伤寒头痛如破。
❹ 配大枣,治霍乱烦躁、卧不安稳。

❺ 配人乳,治小儿初生不小便。

❻ 配乳香,共捣烂敷,治阴囊肿痛。
❼ 配郁金,治小便溺血。
❽ 葱白和米煮粥,入醋热服取汗,治时疾头痛发热。
❾ 配附子、干姜,治腹痛泄痢,脉微之症。

❿ 配豆豉、生姜,治外感风寒、头痛、发热恶寒等症。

方选和验方 ❶ 葱豉汤(《补缺肘后方》)治伤寒初觉头痛,内热,脉洪一、二日:葱白10茎,豉30g。以水600ml,煮取100ml,顿服取汗。
❷ 《补缺肘后方》:“治霍乱烦躁、卧不安稳:葱白20茎,大枣20枚。水300ml,煮取200ml顿服之。”
❸ 白通汤(《伤寒论》)治少阴病下利:葱白4茎,干姜30g,附子1枚(生,去皮,破八片)。上3味,以水300ml,煮取150ml,去滓分温再服。
❹ 葱豉荷米汤(《重订通俗伤寒论》)治小儿伤寒初起,头痛身热,发冷无汗:鲜葱白1枚,豆豉6g,薄荷1.5g,粳米30粒。水煎服。
❺ 葱豉桔梗汤(《重订通俗伤寒论》)治风温,风热等症初起,头痛发热,微寒无汗,或有汗不多,心烦口渴,舌尖红赤,脉数,或兼咳嗽,或兼咽痛,或兼胸闷:鲜葱白3~5枚,桔梗、薄荷各3~4.5g,连翘4.5~6g,焦栀子6~9g,豆豉9~15g,生甘草2~2.5g,鲜竹叶30片。

水煎服。
❻ 白通加猪胆汁汤(《伤寒论》)治少阴病,下利不止,厥逆无脉,面赤干呕而烦躁者:葱白4茎,干姜10g,生附子1枚,人尿100ml,猪胆汁20ml。

水煎,去渣,入胆汁、人尿,搅匀,分2次服。

❼ 葱白七味饮(《外台秘要》)治病后阴血亏虚,调摄不慎,感受外邪,或失血之后,复经感冒,头痛身热,微寒无汗者:葱白(连须、切)30g,葛根、麦门冬、干地黄各90g,豆豉15g,生姜30g。甘澜水煎,分3次服,取汗。
❽ 葱豉安胎汤(《外台秘要》)治胎动不安:葱白、豆豉各30g,阿胶60g。

水煎去滓,下阿胶更煎,胶烊服,1昼夜可服3~4剂。
❾ 《外台秘要》:“治小儿初生不小便:葱白1寸,人乳60ml。上2味相和煎,分为4服。


❿ 《圣济总录》:“治疔疮恶肿:刺破,老葱、生蜜杵贴2时,疔出以醋汤洗之。” ⑾葱白散(《博济方》)治一切冷气不和,及膀胱气攻冲疼痛,妇人产前产后腹痛,胎不安;并治血脏宿冷,骨节倦疼,肌瘦怯弱,伤、劳、带、癖等症:川芎、当归、枳壳(麸炒)、厚朴(姜炙)、官桂、炮姜、芍药、木香、青皮、炒神曲、炒麦芽、人参、莪术(醋浸一宿,焙)、炒茴香、炮三棱、川楝子、茯苓、生地黄各30g。为末,每服9g,常服只须6g,用大葱白2寸,剖破,水煎,入盐1.5g,和滓热服。 ⑿葱白散(《世医得效方》)治老人大便不通:葱白2茎,阿胶1片。以水煎葱,候熟不用,入阿胶溶开温取。 ⒀葱白汤(《全生指迷方》)治卒暴小便不通,脐腹膨急,气上冲心,闷绝闷死,由忍尿劳役,或从惊恐,气无所伸,乘并膀胱,气冲浮系不正,其脉右手急:葱白3茎,陈皮90g,冬葵子60g。为粗末,水煎服。

⒁葱白汤(《备急千金要方》)治妊娠七月,忽惊恐摇动腹痛,卒有所下,手足厥冷,脉若伤寒,烦热腹满短气,常苦颈项及腰背强:葱白15茎,半夏30g,生姜60g,甘草、当归、黄芪各90g,麦门冬30g,阿胶120g,人参45g,黄芩30g,旋覆花15g。为粗末,水酒煎,分4次(昼3夜1)服,温卧取汗。

若服药后汗不出,加麻黄60g。 ⒂葱矾丸(《揣摩有得集》)治一切疔毒,浑身发烧发冷,大渴饮水,或口不渴:老葱白3寸,白矾3g。

捣烂为丸,开水送服下,取汗。 ⒃乌金散(《外科精义》)治痈疖肿硬,无头,不变色者:米粉120g,葱白30g(细切)。

上同炒黑色,杵为细末。每用,看多少,醋调摊纸上,贴病处,一伏时换1次,以消为度。 ⒄石膏葱白汤(《伤寒总病论》)治阳毒所损,伴热生斑,气喘引饮:豆豉15g,葱白(连须)60g,石膏、生姜各120g,栀子仁、升麻、大青叶、芒硝(烊化)各45g。为粗末,每日服3~4次。

⒅《纲目》:“治阴囊肿痛:葱白、乳香捣涂。” ⒆《全幼心鉴》:“治小儿虚闭:葱白3根。煎汤,调生蜜、阿胶末服。仍以葱头染蜜,插入肛门。

” ⒇葱姜红糖汤(《中医方剂临床手册》)治感冒,受冷腹痛:葱白头(连须)3~7个,生姜(去皮)3~5片。水煎浓缩,加红糖适量,热服取汗。 (21)四川中医 1989;(3):“治阳痿不举:葱白10根,分2份,加热后敷于脐部及关元穴,每日、晚各1次。” (22)四川中医 1989;(3):“治宫寒不孕:葱白5根,捣烂加热敷脐,每晚1次。” (23)四川中医 1989;(3):“治睾丸冷痛:葱白10根,捣烂分四份,加热敷脐。” (24)中医杂志 1991;(2):“治尿潴留:生葱白500g切碎,白矾12g研成粉,混合捣成糊状,敷于脐及下腹膀胱区。” (25)新中医 1984;(9):“治小便不通:葱白1根(约10cm),白胡椒7粒。上药共捣烂泥,填敷肚脐上,盖以塑料薄膜,胶布固定。

约3~4小时见效。

” (26)中医杂志 1982;(12):“治遗尿症:连须葱白(6cm长)3根,硫黄30g。上药共捣烂如泥。待患儿临睡前将上药敷于脐上,用纱覆盖固定。

8~10小时后除掉。” (27)广西卫生 1975;(3):“治蛔虫性肠梗阻:葱白5~10根(捣烂),茶油25~50ml。上药拌匀后顿服。必要时8~12小时再服1剂。

” (28)河南中医 1994;(4):“治急性乳腺炎:葱白200g,煎汤薰洗乳房20分钟,后再用葱白250g,捣烂敷患处,每日2次。”

单方应用 ❶ 《济生秘览》:“治时疾头痛发热者:连根葱白20根。和米煮粥,入醋少许,热食取汗即解。”
❷ 《伤寒类要》:“治妊娠七月,伤寒壮热,赤斑变为黑斑,溺血:葱10根,水300ml,煮令热服之,取汗,食葱令尽。”
❸ 《华佗危病方》:“治脱阳,或因大吐大泻之后,四肢逆冷,元气不接,不省人事,或伤寒新瘥,误与妇人交,小腹紧痛,外肾抽搐,面黑气喘,冷汗自出,须臾不救:葱白数茎,炒令热,熨脐下,后以葱白连须3~7根,细锉,砂盆内研细,用酒500ml,煮至200ml,分作3服,灌之。”
❹ 《瑞竹堂经验方》:“治虫积卒心急痛,牙关紧闭欲绝:老葱白5茎,去皮须捣膏,以匙送入喉中,灌以麻油120g,虫积皆化为黄水而下。”
❺ 《本事方》:“治小便难、小肠胀:葱白1.5kg。细锉,炒令热,以帕子裹,分作2处,更以熨脐下。


❻ 《食医心镜》:“治赤白痢:葱10茎。细切,和米煮粥,空心食之。


❼ 《纲目》:“治阴囊肿痛:煨葱入盐,杵如泥,涂之。”
❽ 《纲目》:“治小儿白秃:冷泔洗净,以羊角葱捣泥,入蜜和涂之。”
❾ 《必效方》:“治痔正发疼痛,葱和须,浓煎汤,置盆中坐浸之。”
❿ 《日用本草》:“治磕打损伤,头脑破骨及手足骨折或指头破裂、血流不止:葱白捣烂,焙热封裹损处。” ⑾《临床常用中药手册》:“治胆道蛔虫病或蛔虫性肠梗阻:葱白捣汁,茶油(菜油、花生油、麻油均可)各30g,混合服。”

。【医药家论述】:

❶ 陶弘景:“葱亦有寒热,白冷青热,伤寒汤不得令有青也。”
❷ 张元素:“葱茎白专主发散,以通上下阳气,故《活人书》治伤寒头痛如破,用连须葱白汤主之;张仲景治少阴病下利清谷,里寒外热,厥逆脉微者,白通汤主之,内用葱白。若面色赤者,四逆汤加葱白,腹中痛者,去葱白。

成无己解之云,肾恶燥,即食辛以润之,葱白辛温,以通阳气也。


❸ 李时珍《纲目》:“葱,所治之症,多属太阳、阳明,皆取其发散通气之功。通气故能解毒及理血病。气者,血之帅也,气通则血活矣。

金疮磕损,折伤血出,疼痛不止者,王璆《百一方》用葱白,砂糖等份研封之,云痛立止,更无痕瘢也。葱叶亦可用。

又葱管吹盐入玉茎内,治小便不通及转脬危急者。余常用,治数人得验。”
❹ 缪希雍《本草经疏》:“葱,辛能发散,能解肌,能通上下阳气。故外来怫郁诸证,悉皆主之。

伤寒寒热,邪气并也;中风面目肿,风热郁也;伤寒骨肉痛,邪始中也。喉痹不通,君相二火上乘于肺也,辛凉发散,得汗则火自散而喉痹通也。肝开窍于目,散肝中邪热,故云归目。

除肝邪气,邪气散则正气通,血自和调而有安胎安中利五脏之功矣。

其曰益目睛,杀百药毒者,则是辛润利窍而兼解散通气之力也。”
❺ 张寿颐:“鲜葱白,轻用二、三枚,重至五枚,以柔细者为佳,吾吴谓之绵葱。其粗壮者则曰胡葱,气浊力薄,不如柔细之佳。去青用白,取其轻清;或连须用,欲其兼通百脉;若单用青葱茎,则以疏通肝络之郁窒,与葱白专主发散不同。”

随便看

 

文网收录3541549条中英文词条,其功能与新华字典、现代汉语词典、牛津高阶英汉词典等各类中英文词典类似,基本涵盖了全部常用中英文字词句的读音、释义及用法,是语言学习和写作的有利工具。

 

Copyright © 2004-2024 Ctoth.com All Rights Reserved
京ICP备2021023879号 更新时间:2026/4/18 18:51:28