网站首页  词典首页

请输入您要查询的字词:

 

字词 蒸发工段的平衡计算
类别 中英文字词句释义及详细解析
释义 蒸发工段的平衡计算

【已知】 浓黑液浓度=60%

去除皂化物的量=50(kg/t浆)

蒸发中碱的损失率=0.8%(对用碱量)

1.蒸发中碱损失量的计算

【计算】 碱损失量=用碱量×损失率=3.3600(Na2O计)

2.浓黑液固形物量的计算

【计算】 浓黑液固形物=稀黑液固形物—皂化物—碱损失

=1845.3117-50-4.2271

=1791.0846

3.蒸发后浓黑液中水分的计算

4.蒸发段的平衡计算

【已知】 皂化物=50

碱损失=4.2271

稀黑液量=12302.0780

浓黑液量=2985.1410

【计算】 蒸发水分=稀黑液量—皂化物浓黑液量—碱损失=9262.7099

5.浓黑液中各成分的计算

转入浓黑液中的NaOH=315.0000(Na2OH计)

=406.4516(NaOH计)

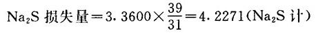
转入浓黑液中的Na2S=蒸煮液中Na2S-蒸煮Na2S-洗涤Na2S损失—蒸发Na2S损失

=132.0968-7.1332-1.5852-4.2271

=119.1513(Na2S计)

=94.7100(Na2O计)

转入黑液中的Na2CO3=55.5882(Na2O计)

=95.0379(Na2CO3计)

转入黑液中的Na2SO4=11.6667(Na2O计)

=26.7205(Na2SO4计)

转入黑液中的无机固形物=NaOH+Na2S+Na2CO3+Na2SO4

=647.3613

转入黑液中的有机固形物=固形物总量—无机固形物

=1791.0846+647.3613

=1143.7233

随便看

 

文网收录3541549条中英文词条,其功能与新华字典、现代汉语词典、牛津高阶英汉词典等各类中英文词典类似,基本涵盖了全部常用中英文字词句的读音、释义及用法,是语言学习和写作的有利工具。

 

Copyright © 2004-2024 Ctoth.com All Rights Reserved
京ICP备2021023879号 更新时间:2025/10/17 12:52:55