网站首页  词典首页

请输入您要查询的字词:

 

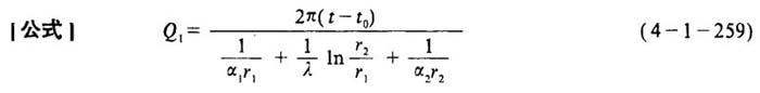
字词 蒸汽通过无保温裸管输送的热损失计算
类别 中英文字词句释义及详细解析
释义 蒸汽通过无保温裸管输送的热损失计算

式中 Q1——热损失[kJ/(m·h)]

t、t0——蒸汽温度及室外空气年平均温度(℃)

x1——从热媒到管道内壁的给热系数[kJ/(m2·h·℃)]

x2——从管道内壁到外壁的给热系数[kJ/(m2·h·℃)]

r1、r2——管道内外半径(m)

λ——钢管的导热系数[kJ/(m·h·℃)]

随便看

 

文网收录3541549条中英文词条,其功能与新华字典、现代汉语词典、牛津高阶英汉词典等各类中英文词典类似,基本涵盖了全部常用中英文字词句的读音、释义及用法,是语言学习和写作的有利工具。

 

Copyright © 2004-2024 Ctoth.com All Rights Reserved
京ICP备2021023879号 更新时间:2026/4/17 12:52:57