网站首页  词典首页

请输入您要查询的字词:

 

字词 薄壁缸筒强力珩磨工艺
类别 中英文字词句释义及详细解析
释义 薄壁缸筒强力珩磨工艺

珩磨能够方便地加工薄壁缸筒。以精冷拔无缝钢管为原材料,通过强力珩磨直接加工成缸筒内孔。工艺简单,生产效率是深孔镗削加工的2~3倍,材料利用率也在其3倍以上,废品率大大降低,并且缸筒外观好、重量轻。由于具备上述优点,缸筒内孔强力珩磨工艺得到日益广泛的应用,但是,珩磨对毛坯精度要求高,较深孔镗高5级以上。因此材料费用也高,受到材料规格及生产水平的一定限制。

(1)珩磨原理

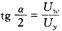
珩磨切削是通过珩磨头上的油石的旋转运动、往复运动和垂直于加工面的径向进给运动完成的。前两种运动是珩磨油石的主运动,这两个运动的合成,使加工表面形成的磨粒切削轨迹呈交叉而不重复的网纹。见图37.5-8。

图中 S1→S2→S3珩磨油石运动轨迹;

Uw——油石往复运动速度;

Uy——油石圆周运动速度;

α——网纹角

L△——珩磨头回转一周后,在轴向与原切削轨迹的超程量,或称搭接量,保证前后切削轨迹平滑衔接。

A——珩磨头两次往复行程期间,在工件圆周方向移动距离,称相位移,使油石轨迹不重复。

珩磨加工是通过油石和被加工面之间的互研进行切削的,可以达到很高的精度和很低的表面粗糙度。珩磨较容易地达到一般缸筒H9,的要求。为使油石能与孔表面均匀接触,珩磨头相对工件是浮动的,故珩磨加工不能修正相对位置误差。

珩磨径向进给,依靠油石扩涨压力,压力高则切削量大。精冷拔管,强力珩磨油石与机床的应用,为强力珩磨提供了有利条件,与传统的珩磨加工相比,从光整加工转变为有效的切削加工。金属去除率和生产效率有了很大提高。

(2)珩磨头

图37.5-9是典型的珩磨头结构图。

1-拉簧;2-油石架;3-芯轴;4-尾部弹簧;5-顶杆;6-油石

油石6用粘接剂粘在油石架2上,油石架两端由拉簧1箍紧,使支架下端斜面与芯轴3锥面贴紧。当压力作用在顶杆5上时,芯轴向前移动,推动油石架沿本体上的长槽径向伸出,实现油石扩涨进给,压力去除后,芯轴在尾部弹簧4作用下退回,油石架在拉簧作用下也随之收回

(3)强力珩磨油石

油石要求在强力珩磨压力下,不发生崩裂破碎。切削力强,自励性好。不因硬度高而粘屑划缸,或因硬度低而降低耐用度。

油石渗硫,硫在磨削时起润滑作用,提高了油石的强度和寿命。由烟台砂轮厂生产。

缸筒经珩磨加工后,内孔粗糙度。珩磨油石选择见表37.5-4。

表37.5-4 珩磨油石选用表

1-缸体;2-缸头

缸筒由缸体1,缸头2组焊而成。缸体毛坯采用精冷拔无缝管材。规格:Φ140×7.5×7092mm。材质为45#钢。加工余量0.3~0.4mm。

缸筒加工工艺过程见表37.5-6。

表37.5-6 缸筒(珩磨)加工工艺过程表

其作用是

·初期低压:使油石与缸筒内孔磨合,并防止缸筒内孔因焊接变形或可能出现的缺陷,如局部磕扁,精度过低等而挤碎油石。

·中间高压:充分切削、效率高。

·最后低压:孔径进入公差带后,换上精珩油石降低压力,进行精珩,提高抛光能力,使表面粗糙度达到要求。

(8)缸筒装夹

薄壁缸筒装夹易产生变形,影响加工精度。加工时要特别注意。H10珩磨机是采用V型钳口定位夹紧,并辅助以钢丝绳-棘轮装置夹紧,以减小夹紧变形。一般是把钳口夹紧点放在缸头等壁厚处,且用力不宜过大。

随便看

 

文网收录3541549条中英文词条,其功能与新华字典、现代汉语词典、牛津高阶英汉词典等各类中英文词典类似,基本涵盖了全部常用中英文字词句的读音、释义及用法,是语言学习和写作的有利工具。

 

Copyright © 2004-2024 Ctoth.com All Rights Reserved
京ICP备2021023879号 更新时间:2025/10/18 23:45:27