网站首页  词典首页

请输入您要查询的字词:

 

字词 蛇根草
类别 中英文字词句释义及详细解析
释义 蛇根草

【概况】:

异名 雪里开花(《浙江民间草药》),雪里梅(《浙江民间常用草药》),活血丹(《湖南药物志》),血和散(《江西药用植物名录》)。

散血草(广西全州)

基源 为茜草科蛇根草属植物日本蛇根草的全草。蛇根草属全世界约200种,中国有68种。

原植物 日本蛇根草Ophiorrhiza jjaponica Bl.

历史 本品在《浙江民间草药》载:“性平,味淡;治咳嗽、肺痨、吐血。”在《湖南药物志》、《全国中草药汇编》、《中药大辞典》等医药书籍均有收载。

形态 直立、近无毛草本,高12~15cm或较高,干后茎、叶变红色;幼枝具棱,老枝圆柱形。叶对生,膜质,卵形或卵状椭圆形,长2.5~8cm,宽0.5~3cm,顶端钝或钝渐尖,基部钝圆或宽楔形,两面无毛或上面有疏短柔毛,下面在脉上被微柔毛,侧脉7~10对,柔弱;叶柄长1~2.5cm,纤细;托叶短小,早落。聚伞花序顶生,二歧分枝,分枝短,有花5~10朵;小苞片被毛,线形;花5数,具短梗;萼管宽陀螺状球形,长1.5mm,萼裂片三角形,开展;花冠漏斗状,稍具脉,长达1.7cm,花冠裂片开展,顶端短尖,内面被微柔毛;雄蕊内藏;子房2室,每室有多数胚珠,柱头2裂。蒴果菱形,宽4.5mm,成熟时室背开裂为2果瓣。

种子多数,小而有角。花果期3~11月。(图见《中国高等植物图鉴》.第4册.208页.图5829)

生境与分布 生于海拔450~2000m的山谷溪边林下。分布于中国陕西、安徽、浙江、江西、福建、台湾、湖北、湖南、广东、广西、四川、贵州、云南。

日本、越南也有分布。

【化学】:

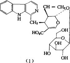
含无羁萜(Friedelin)、β-谷甾醇[1]和多种生物碱。所含生物碱有:哈尔满碱(Harmane)[1],莱尔甙酸(Lyalosidic acid)(1)、10-Hydroxylyalosidicacid[2]、莱尔甙(Lyaloside)、6-羟基哈尔满碱、蛇根草碱(Ophiorine)A及其甲酯,Ophiorine B及其甲酯[3]

参考文献 [1] 江苏省植物研究所等.新华本草纲要.第2册.上海科学技术出版社,1991∶450 [2] Chem pharm Bull 1986;34(7)∶3064 [3] CA 1987;107;151180n

【药性】:

性味 《全国中草药汇编》:“淡,平。”

功效 活血散瘀,祛痰,调经,止血。

主治 咳嗽,劳伤吐血,跌打,月经不调。《新华本草纲要》:“用于气管炎,肺结核咯血,劳伤吐血,月经不调,便血,风湿性关节痛,跌打损伤。”

用法用量 内服:煎汤,15~30g。

外用:捣敷患处。

。【临床应用】:

方选和验方 ❶ 《江西草药手册》:“治劳伤咳血:蛇根草全草、一枝香、抱石莲各15g。水煎冲白糖服,每日1次。”
❷ 《湖南药物志》:“治咳嗽:蛇根草12g,酢浆草9g,碎鱼草6g,淫羊藿6g,老鼠黄6g,山楂6g,甘草6g,水煎服。”
❸ 《湖南药物志》:“治腹部冷痛;蛇根草9g,一颗针9g,马蹄香6g,荆芥6g,薄荷6g,水煎服。”
❹ 《浙江民间常用草药》:“治流火:蛇根草、珍珠菜15g,水煎服。”
❺ 浙江省科技简报(医药卫生部份)1971;(11):“治慢性气管炎;蛇根草500g,加水煮2次,将两煎液浓缩成6000ml。每日4次,每次20ml,用热开水冲服。

单方应用 ❶ 《浙江民间草药》:“治虚劳咳嗽:四季花(即蛇报草)12~30g,煎服。”
❷ 《浙江民间草药》:“治月经不调:蛇根草24g,水煎服。”
❸ 《浙江民间草药》:“治咳嗽、劳伤吐血,月经不调:蛇根草9~15g,水煎服。”
❹ 《湖南药物志》:“治大便出血:蛇根草全草15g,水煎服。”
❺ 《江西草药手册》:“伤筋和扭伤脱臼:蛇根草全草30g,黄酒冲服;另取鲜品捣烂外敷伤处。”
❻ 《全国中草药汇编》:“治肺结核咯血,气管炎,月经不调;外用治扭挫伤:蛇根草15~30g,水煎服;外用鲜品捣烂敷患处。”

食疗 《湖南药物志》:“治妇女痛经:蛇根草30g,当归15g,钩藤15g,毛老虎15g,鸡1只,同煎煮熟,食肉喝汤。”

随便看

 

文网收录3541549条中英文词条,其功能与新华字典、现代汉语词典、牛津高阶英汉词典等各类中英文词典类似,基本涵盖了全部常用中英文字词句的读音、释义及用法,是语言学习和写作的有利工具。

 

Copyright © 2004-2024 Ctoth.com All Rights Reserved
京ICP备2021023879号 更新时间:2025/10/18 17:57:47