蛋白质的组成
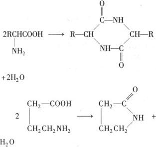
1.元素组成 蛋白质是一类结构非常复杂的化合物,由碳、氢、氧、氮、硫等元素组成. 2.单体——氨基酸 蛋白质在酸、碱或酶的作用下能发生水解,水解的最终产物是氨基酸. 概念:羧酸分子中烃基上的氢原子被氨基(—NH2)取代的衍生物叫做氨基酸.  性质:氨基酸是一种多官能团衍生物,既可以体现—COOH的性质,又可以体现—NH2的性质. (1)两性:   (2)缩合反应(或缩聚反应): a.两分子氨基酸缩合形成二肽.如:  b.分子内或分子间缩水成环,如  c.缩聚形成高分子化合物:  3.几种常见的氨基酸: (1)氨基乙酸(俗称甘氨酸):H2N—CH2—COOH (2)α—氨基丙酸(俗称丙氨酸):  (3)α—氨基—β—苯基丙氨酸(俗称苯 丙氨酸)  (4)α—氨基戊二酸(俗称谷氨酸)  |