网站首页  词典首页

请输入您要查询的字词:

 

字词 蛛网原理
类别 中英文字词句释义及详细解析
释义 蛛网原理

又称蛛网模型。

该原理是研究人们根据市场价格波动作出预测对产量波动所造成的影响,以及由此产生的均衡变化。蛛网原理的基础是由美国的亨利·舒尔茨(Shultz)、荷兰的简·丁伯根(Tinbergen)和意大利的昂伯托·里奇(Ricci)分别在1930年独自撰写的论文中奠定。1934年卡尔多(Kaldor)考虑到价格和产量的连续演变过程在图形中类似“蛛网”,而称为蛛网原理。1938年美国的莫迪凯·伊齐基尔(M.Ezekiel)详细地说明了收敛、发散和持久摆动的条件,并表明不同长短的循环在静态预期下是如何产生的。

最初的蛛网原理是假定供给方面出现滞后调节,而需求方面无滞后。将需求函数和供给函数简化为线性函数,可以得到:

(1)

在这里P、q、D、S、t分别表示价格、产量、需求函数、供给函数与时间的期数。给定初始条件Ptt=0=P0,在均衡时可得一阶差分方程:

bPt+dPt-1=a+c

其解为:

(3)

价格方程的解由两项构成:第一项是均衡价格,它不随时间变动。第二项是反映价格围绕均衡价格上下波动,是否收敛完全取决于是否满足稳定性条件

实际上是比较b与d的相对大小,而b可看成需求弹性,d可看成是供给弹性。所以蛛网原理的稳定性条件取决于需求弹性与供给弹性二者的关系。当供给弹性小于需求弹性时,满足稳定性条件,称为“蛛网稳定条件”。当供给弹性大于需求弹性时,价格波动越来越大,称为“蛛网不稳定条件”。

当供给弹性等于需求弹性时,价格始终按同一幅度持久摆动,称为“蛛网中立条件”。

按照伊齐基尔的分析,供给弹性大于需求弹性的农产品,其市场价格将会很不稳定,这与实际观测到的情形相矛盾。

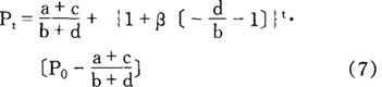
为改进蛛网原理,1958年纳洛夫(Nerlove)提出可以用Pt表示t期预测价格,把(2)改写为

(4)

(5)

这样原来的模型相当于假定生产者是静态预期,总是把上一期价格作为本期预测价格。

纳洛夫认为当生产者年复一年看到价格波动的情况,不会只是依据上一期价格来决定本期价格。

他借鉴卡根(Cagan,1956)关于恶性通货膨胀的理论,引进适应性预期概念,力图改进蛛网原理的预期形成机制。适应性预期写成

(6)

它表明人们是根据前期预期的误差来修正本期的预期的,由此建立的价格方程是

稳定性条件无论需求弹性和供给弹性相对关系如何,总可以找到β充分小,保证蛛网原理的价格波动是收敛的。

后来人们又进一步研究了预期形成过程。最重要的进展是1961年美国的约翰·穆思(J.Muth)提出理性预期理论。

他认为预期是对未来事件进行有信息依据的预测,与任何经济体系相关的信息反映了其结构本身,因而理性的交易者都要加以利用,由此形成的预测是理性预期。理性预期不同于一般预测的主要特征是:理性预期是个人的主观特有判断,而且不应限定为单一的预期值,而应看作是未来值的一个完全概率分布。这样理性预期不仅包括以往的价格信息,而且包括非价格信息,如政治形势、经济周期、投机心理等诸多信息。用It-1表示在时间t-1所得到的所有信息,定义P为Pt的期望值

(8)

根据理性预期,可以证明,这样在生产者具有理性预期的前提下,价格波动就是由外生变量冲击的结果。

很快经济学家发现理性预期概念有著更为广泛的用途,虽然最初是在研究蛛网原理时提炼出来的,但它更适于应用在货币或经济周期等领域,以至于后来出现了以卢卡斯(Lucas)为领袖的理性预期学派。

蛛网原理产生于本世纪30年代大萧条期间,伊齐基尔认为如果价格和产量不能迅速收敛于均衡值,那些产品价格在均衡价格以上的行业将会过量使用劳动和资本,而那些产品价格低于均衡价格的行业都会使用劳动和资本不足,由此可能出现失业、生产能力过剩和资源滥用。但实际上在萧条期间并非价格剧烈波动,主要是数量调整而非价格调整。

蛛网原理适用性的一个重要条件是供给数量应完全按生产时期开始时的价格进行调整,在生产过程中不能改变,这似乎只能应用于农产品,因为它具有季节性的同时生产。

而工业品可以连续生产,从而供给量可随时变化,因此该原理并不适用。现在把蛛网原理看作是供给调节滞后于需求调节的一个动态经济学的例证。

参考文献:

Ezekiel,Modecai,1938,Cobweb Theorem,Quarterly Journal of Economics 52:255-80.

谢弗林,1990,《理性预期》,商务印书馆。

随便看

 

文网收录3541549条中英文词条,其功能与新华字典、现代汉语词典、牛津高阶英汉词典等各类中英文词典类似,基本涵盖了全部常用中英文字词句的读音、释义及用法,是语言学习和写作的有利工具。

 

Copyright © 2004-2024 Ctoth.com All Rights Reserved
京ICP备2021023879号 更新时间:2026/1/17 16:03:45