网站首页  词典首页

请输入您要查询的字词:

 

字词 蟾蜍
类别 中英文字词句释义及详细解析
释义 蟾蜍

【名称出处】:《别录》

【概况】:

异名 苦蟹(《别录》),蟾(《药性论》),虾(《本草衍义》),蚵蚾(《全婴方论》),癞虾蟆、石蚌(《本草蒙筌》),癞格宝(《贵州民间方药集》),癞巴子、癞蛤蟆(《吉林中药手药》),癞蛤蚆(《药材资料汇编》),蚧蛤蟆,蚧巴子(《山东中草药手册》)。

基源 为蟾蜍科蟾蜍属动物中华大蟾蜍或黑眶蟾蜍等的全体。

原动物 中华大蟾蜍Bufo bufo gargarizans Cantor。黑眶蟾蜍Bufo melanostictus Schneider

余项参见“蟾头”条。。

【生药】:

采集 夏、秋季捕捉。

捕得后,先采取蟾酥,然后将蟾蜍杀死,直接晒干(东北、华北);或杀死后除去内脏将体腔撑开晒干(华东、中南、华南)。直接晒干的蟾蜍,商品称为“干蟾”,除去内脏的商品称为“干蟾皮”。药材主产于山东、河北、江苏、浙江、四川、湖南、湖北、辽宁、吉林。

鉴别 干蟾:全体拘挛抽皱,纵面有棱角,四足伸缩不一。表面灰绿色或绿棕色,粗糙不平,具小瘤状突起。除去内脏者腹腔内面为灰黄色,可见到骨骼及皮膜。

气微腥,味辛。以个大、身干、完整者为佳。

加工炮制 蟾蜍:刷去灰屑泥土,剪去头爪,切成方块。

炙干蟾:将铁砂倒入锅内烧热,取切好的干蟾放入拌炒,至微焦发泡时取出,筛出铁砂,放冷。民间有以活蟾蜍,用黄泥涂裹,放火灰中煨存性后,研细入药者。。

【化学】:

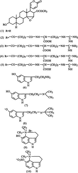
从朝鲜产中华大蟾蜍Bufo bufo gargarizans Cantor干燥体中曾分得蟾毒配基类(Bufogenins):脂蟾毒配基(Resitufogenin)、华蟾毒精(Cinobufagin)(1)、蟾毒灵(Bufalin)、蟾毒它灵(Bufotalin)、华蟾毒它灵(Cinobufotalin)、日蟾毒它灵(Gamabufotalin)等;蟾蜍毒素类(Bufotoxins);华蟾毒精-3-戊二酰基L-精氨酸酯(Cinobufagin-3-glutaroy[-L-arginine ester)(2)、华蟾毒精-3-丁二酰基精氨酸酯(Cinobufagin-3-succinyl arginine ester)(3)、华蟾毒精-3-己二酰基精氨酸酯(Cinobufagin-3-adipoyl-arginine ester)(4)、华蟾毒精-3-庚二酰基精氨酸酯(Cinobufagin-3-pimeloyl arginine ester)(5)、蟾毒灵-3-丁二酰基精氨酸酯(Bufalin-3-succinyl arginine ester)、日蟾毒它灵-3-丁二酰基精氨酸脂(Gamabufotalin-3-succinyl-arginine ester)及台蟾蜍毒素类(Vulgarobufotoxin)化合物[1]

附:有关蟾蜍的化学成分研究,除在蟾酥、蟾皮、蟾蜍下己记述的中华大蟾蜍、黑眶蟾蜍、华西大蟾蜍、台湾蟾蜍、曼谷蟾蜍、花背蟾蜍、亚洲蟾蜍等外,还有北美蟾蜍[2]、南美巨蟾蜍[3]、绿蟾蜍[4]、沙蟾蜍[5]等。研究的材料少数是蟾蜍的分泌物,大多数是剥离的皮,个别的是蟾蜍干燥体。它们的化学成分,可分为下列几类[6,7,8]

❶ 蟾毒配基类(Bafagenins):这类成分多半是蟾蜍分泌液中原有蟾蜍毒素类化合物,在采收加工过程中的次生产物,共有20多种,已有综述[8]
❷ 蟾蜍毒素类(Bufotoxins)化合物,是各种蟾毒配基的脂肪酸或脂肪酰基氨基酸或硫酸的酯类,可依据其配基分为13类,共约50余种化合物;
❸ 蟾蜍色胺类(Bufotenines),均具吲哚环,亦可称为吲哚碱类,如5羟色胺(Serotonine)(6)、蟾蜍色胺(Bufotenine)(7)、蟾蜍特尼定(Bufotenidine)(8)、脱氢蟾蜍色胺氢溴酸盐(Dehydro bufotenine hydrobromide)(9)、蟾蜍硫宁(Bufothionine)(10)等。

其它如肾上腺素、胆甾醇类、甾醇类、喋定类、肽类、氨基酸、脂肪酸类等成分[7,8]

参考文献 [1] Chem Pharm Bull,1985;33(7):767 [2] Chem Pharm Bull,1980;28(5):1559 [3] Tetsahedson Lett 1979:163 [4] Chem Pharm Bull,1986;34(8):3454 [5] Buckingham J.,Dictionarg A Organic Compounds,(Fifch edition),Chapman and Aall,1982:T3452 [6] 沈药药学院 1989;6(3):204 [7] 中草药 1996;27(4):246 [8] 张豁中等.动物活性成分化学.天津科学技术出版社,1995:1520,1525。

【药性】:

性味 辛,凉。

有毒。 ❶ 《本草蒙筌》:“味辛,气凉。微毒。”
❷ 《别录》:“有毒。”
❸ 《日华子本草》:“凉。微毒。”
❹ 《医林纂要》辛、甘、咸,寒。”

归经 ❶ 《纲目》:“入阳明经。”
❷ 《本草再新》:“入心、肝、脾、肺四经。”

功效 破癥结,行湿除黄,清热杀虫,平惊散癖,强心利尿,消疳化毒,止痛。

主治 无名肿毒,疔疮,发背,阴疽瘰疬,癥瘕癖积,臌胀水肿,小儿疳积,慢性气管炎,皮肤瘙痒。 ❶ 《别录》:“疗阴蚀,疽疬,恶疮,猘犬伤疮。”
❷ 《药性论》:“杀疳虫,治鼠漏恶疮。烧灰敷一切有虫恶痒滋胤疮。”
❸ 《本草拾遗》:“主温病生斑者,取一枚,生捣绞取汁服之,亦烧末服;主狂犬咬发狂欲死,作脍食之,频食数顿。”
❹ 《日华子本草》:“破癥结,治疳气,小儿面黄癖气。”
❺ 《纲目》:“治一切五疳八痢,肿毒,破伤风病,脱肛。”
❻ 《本草蒙筌》:“治小儿洞泻下痢,炙研水调吞之;疗大人跌扑损伤,活捣泥烂罯上;风淫生癣,烧灰和猪脂敷;煨熟啖,杀疳蚀成癖。”
❼ 《本草正》:“消癖气积聚,破坚癥肿胀。”
❽ 《本草备要》:“发汗退热,除湿杀虫。”
❾ 《医林纂要》:“主治痈疽疔毒,杀小儿疳积。剖其腹合肿毒上,三易则毒可消。


❿ 《四民月令》:“治恶疮疽。” ⑾《本草再新》:“治疮疽发背,小儿脾胃不和,肝旺火甚,动风惊厥。” ⑿《山东中草药手册》:“治水肿腹水。”

用法用量 内服:煎汤,1只,或入丸散,1~3g。外用:烧存性研末敷或熬膏摊贴。

【临床应用】:

配伍应用 ❶ 配芒硝,治腹中冷癖,心下停痰,两胁痞满。

❷ 配猪胆汁,治慢性支气管炎。
❸ 配使君子肉、山楂肉、五谷虫,治小儿疳积,腹大如鼓,不欲饮食。
❹ 配蛤蚧、半夏、陈皮,治支气管哮喘。
❺ 配甘遂、木香、鸡内金治肝硬化腹水。

方选和验方 ❶ 五疳保童丸(《全婴方》)治五疳八痢,面黄肌瘦,好食泥土,不思乳食:大干蟾蜍1枚(烧存性),皂角(去皮弦)3.7g(烧存性),蛤粉(水飞)11g,麝香3.7g。为末,糊丸,粟米大。

每空心米饮下30~40丸,日2服。
❷ 《郑氏小儿方》:“治走马牙疳,侵蚀口鼻:蚵蚾(黄泥裹,煅)、黄连各9.4g,青黛3.7g。共为末匀,入麝香少许和研,敷患处。


❸ 金鞭散(《普济方》)治疳疮,顋穿牙落:活土狗1个(以孵退鸡子白皮包),置大虾蟆口内,草缚泥固煅,取出研末,敷患处。以愈为度。
❹ 《仁斋直指方》:“治癞风虫疮:干虾蟆37g(炙),长皂角1条(炙去皮子蘸酒再炙)。共研为末,以竹管引末入羊肠内,系定,以麸铺甑内,置肠于麸上,蒸熟,取肠去麸,入麝香1.9g,同捣为丸,梧子大。每温酒服21丸。”
❺ 《锦囊秘览》:“治附骨坏疮,久不瘥,脓汁不已,或骨从疮口出:大虾蟆1个,乱头发1团,鸡子大,猪油150g。煎枯,去滓,待凝如膏。

每用,先以桑根皮,乌头煎汤洗,拭干,用煅龙骨末糁疮口四边,敷膏于疮上,贴之。”
❻ 《奇效良方》:“治破伤风:“虾蟆94g,切剁如泥,入花椒37g。酒炒熟。再入酒200ml,温热服之,少顷,通身汗出。


❼ 《肘后方》:“治腹中冷癖,水谷阴结,心下停痰,两胁痞满,按之鸣转,逆害饮食:大蟾蜍1枚(去皮,肠)切碎,芒硝(视人体质强弱)适量,加水1200ml煮,煎取800ml,取200ml,取下。未得下,再服200ml。得下,则九日十日一作。”
❽ 蟾矾散(《圣惠方》)治舌口生疮:胆矾一份,干蟾一份(炙)共研为末匀,取小豆大,掺疮上,良久,用新汲水600ml,分次漱口,水尽为度。

❾ 蟾砂散(《绛囊撮要》)治气臌:大蟾蜍1个,砂仁(不拘量研末)。装砂仁末于蟾腹内令满,缝口,用泥封固,炭火煅红,冷后,去泥取蟾研末,作3服,陈皮汤送下。
❿ 《吉林中草药》:“治疔毒:蟾蜍1个,黑胡椒7粒,鲜姜1片,后二药置蟾蜍腹内,于砂锅或瓦罐内,慢火焙焦,研末。每服0.15g,日2服。” ⑾辽宁《中草药新医疗法资料选编》:“治胸壁结核或淋巴结结核破溃成漏:癞蛤蟆1个,白胡椒9g,硫磺6g,后二药入蛤蟆腹内,黄泥包裹厚约4~6cm,文火煨透,去泥研细末,香油调成糊,灭菌后,涂糊于纱布条,置漏孔内,外用纱布包裹,第2~4天换药1次。” ⑿蟾蜍膏(《圣济总录》)治一切疮肿,痈疽,瘰疬等,经月不瘥:蟾蜍(去头)1个,石硫磺(另研)、乳香(为研)、木香、桂(去粗皮)各20g,露蜂房1个(烧研)。各为末和,用清油37g调,入瓷碗,重汤熬,并搅令成膏,摊绢上,贴患处。候出清水,更换。

疮患重者,药膏厚摊。 ⒀《余居士方》:“治肿毒初起:大虾蟆1个,剁碎,炒石灰适量,研如泥,敷患处,频易。” ⒁江苏省医学科学资料汇编 1959;(5):“治疗白喉:活蟾蜍170g,明矾33g。(实际用时按此比例)同于石臼内捣烂,纱布包裹成5×10cm大小,敷患者前颈,绷带固定,按症轻重第6~10小时或4~6小时更换1次。

3~6次,以吞咽便利为度。” ⒂江西省防治老年慢性气管炎资料汇编 1972;(3):“治疗慢性气管炎:活蟾蜍(去头,皮和内脏,焙干研末)7份,猪胆汁浓液与等量面粉混合,小火炒松研末3份,混匀,装胶囊。每次服1.5g,日3次。10天为1疗程。

” ⒃山东省潍坊地区卫生局《攻克慢性气管炎资料选编》 1972:“治疗慢性气管炎:冬眠蟾蜍1只,白矾9g,大枣1枚。后二药和,纳蟾蜍口内。阴干,焙黄研末。水泛为丸,绿豆大,代赭石末为衣。每日3~6g,1次或分次服。

连服30天。

” ⒄《中医药物贴脐疗法》:“治肝痈:“活蟾蜍2个,滑石(研末)12g,甘草2g。先将蟾蜍杀死,去内脏,将滑石、甘草研末撒于腹内,再把蟾蜍罨敷在患者脐窝上,外用纱布固定,每天捣药1次。

” ⒅蟾香散(《全国中药处方集》)治胸膈气胀,小便短赤:活虾蟆1只,g砂仁15g。将春砂仁入活虾蟆口腹内,用线将嘴缝牢,装入瓦罐中用泥封固,炭火煅存性(约4~5小时),候冷研细末。每服3g,米汤送服,日2服。 ⒆金蟾丸(《全国中药成药处方集》)治小儿疳积虫痛,面黄口渴,腹大如鼓,青筋显露,不欲饮食、腹痛泄泻:蟾蜍(烘干)、使君子肉、五谷虫各90g,山楂肉(炒)150g,五灵脂,蓬莪术、广陈皮、小青皮、西砂仁各60g。

同研为细末,陈蜜为丸,每丸重6g。每次服1丸,米饮化服,量儿大小斟酌加减。

⒇新中医 1980;(3):“治肝癌疼痛:活蟾蜍1只、雄黄30g。先将蟾蜍去内脏,雄黄放入其腹内并加水调成糊状,敷在肝区疼痛处,可持续敷12~24小时。夏天6~8小时换1次,冬天24小时换一次。

有时敷后成绿色,可照常使用。” (21)河南中医 1981;(5):“治麻疹:蟾蜍(风干)1只,肉桂,附子各3g,天麻、薄荷、钩藤、僵蚕各6g,雄黄2g。同研为细末,1~3岁每次服1~2g;4~6岁每次服3~4g;每日服3次,白开水送服,连服3日。

(22)上海中医杂志 1984;(11):“治支气管哮喘:活蟾蜍(去内脏、煅存性)10只,白胡椒60g,法半夏50g,广陈皮20g,蛤蚧2条,田三七12g。同研为细末,分作30包。

哮喘发时每天早上及晚卧前各服1包,温开水送下。病情稳定后,改为每天早上服1包。

一般服药1~2料。” (23)陕西中医 1985;(8):“治支气管炎:活蟾蜍1只(大者为佳),生鸡蛋1只。将鸡蛋从蟾蜍口内塞至腹腔,若口小塞不进去,可将蟾蜍口角两边剪开,然后用白绵线缝合,勿使鸡蛋滑出,外用黄泥包裹再放在柴草燃烧之灶膛里烧烤,以外涂的泥开为度,泥及蟾蜍均剥去,趁热吃烧熟的鸡蛋,每天按此法吃1只鸡蛋,连吃5天。” (24)蟾蜍片(新中医 1986;(4))治肺癌:蟾蜍、仙鹤草、人参各等份。

研末,制成糖衣片,每片0.4g,每次服6片,开水下,日3服。 (25)癞虾蟆汤(四川中医 1986;(9))治痫病:癞虾蟆2只,甘草、雄黄各3g,猪肚1只。将甘草、雄黄研末填入虾蟆口内,缝合之,装入猪肚中,加水1000ml,煮至500ml。每次空腹服20~25ml。

(26)甘蟾砂仁合剂(天津中医 1989;(2))治肝硬化腹水:活蟾蜍2只,砂仁10g,甘遂3g,木香6g。将三药研末和匀,分装入蟾蜍口内,缝合,泥包煨熟,去泥,加鸡内金10g,焦山楂30g,烘干研末,每次服6g,日服2次。初服10天以五皮饮送服,后75天以化瘀汤送服,然后再用补气养血汤送服75天。

单方应用 ❶ 《子母秘录》:“治小儿疳泄下痢:虾蟆烧存性研末,饮服3g。”
❷ 《子母秘录》:“治小儿口疮:端午日虾蟆炙,研末,敷疮上。并治小儿蓐疮。


❸ 《外台秘要》:“治小儿脐疮,出汁,久不瘥:虾蟆烧灰敷之,日3次。一加牡蛎等份。


❹ 《外台秘要》:“治小儿癣疮:蟾蜍烧灰,猪脂和,敷之。(《千金方》云治一切湿疮)”
❺ 《袖珍方》:“治猘犬咬伤:虾蟆后足,捣烂,水调服。服前先于患者顶心拔去血发2~3根,则小便内见沫。”
❻ 《奚台备急方》:“治折伤,接骨:大虾蟆生研如泥,敷伤处,外劈竹裹缚。”
❼ 《医林集要》:“治发背肿毒,未成者:活蟾1个,系放疮上。待蟾昏,易之。至蟾系缚疮上无异状,则疮毒散。

若病势重,可以活蟾破开,连肚乘热合疮上。

发臭即易。”
❽ 中华外科杂志 1962;(9):“治疗炭疽病:干蟾蜍1个,水300ml,煎至200ml,顿服。或用活蟾蜍1个,去净肠杂,捣烂如糜,开水肿服。”
❾ 辽宁抗癌战讯1971;(5):“治疗胃癌,膀胱癌,肝患:活蟾蜍晒干,烤酥,研细末,3份末加1份面粉(制成糊)和丸,黄豆大。每100粒丸,以雄黄1.5g为衣,每次服5~7丸,日3次,饭后开水送下。”

食疗 ❶ 《肘后方》:“治猘犬伤,每7日一发,虾蟆烧炙食之。”
❷ 《纲目》:“治小儿疳积,腹大黄瘦骨立,头生疮,结如麦穗;立秋后大虾蟆,去首足肋,以清油涂之,阴阳瓦炙熟,食之,连食5~6个。”
❸ 《纲目》:“治大肠痔疾:蟾蜍1个,以砖砌四方,安蟾蜍于内,泥住,火煅存性,为末,另取猪广肠1截,扎两头煮熟,切碎,以肠蘸蟾蜍末食之。3~4次,痔自落。”
❹ 中华外科杂志 1962;(9):“治疗炭疽病:活蟾蜍1个,去内脏洗净,白菊花150g。水煎,代茶饮。”。

【医药家论述】:

❶ 李时珍《纲目》:“蟾蜍,土之精也……伏山精,制蜈蚣,故能入阳明经,退虚热,行湿气,杀虫而为疳病,痈疽,诸疮要药也。

《别录》云治猘犬伤,肘后亦有方法。按沈约《宋书》云:张收为猘犬所伤,人云宜啖虾蟆脍,食之遂愈。此亦治痈疽、疔肿之意。大抵是物能攻毒拔毒耳。古今诸方所用虾蟆不甚分别,多是蟾蜍,读者当审用之,不可因名迷实也。”
❷ 缪希雍《本草经疏》:“虾蟆、蟾蜍本是二物。《经》云一名蟾蜍者,盖古人通称蟾为虾蟆耳。经文虽名虾蟆,其用实则蟾蜍也。今世所用皆蟾蜍,而非虾蟆,其功益可见矣。

味辛气寒,毒在眉棱皮汁中。

其主痈肿,阴疮,阴蚀,疽疠,恶疮,猘犬伤疮者,皆热毒气伤肌肉也。辛寒能散热解毒。

其性急速,以毒攻毒,则毒易解,毒解,则肌肉和,诸证去矣。凡瘟疫邪气,得汗则解。其味大辛,性善发汗,辛主散毒,寒主除热,故能使邪气散而不留,邪去则胃气安而热病退矣。

破癥、坚血者,亦以其辛寒能散血热壅滞也。

近世治小儿疳疾多用,以其走阳明而能消积滞也。”

随便看

 

文网收录3541549条中英文词条,其功能与新华字典、现代汉语词典、牛津高阶英汉词典等各类中英文词典类似,基本涵盖了全部常用中英文字词句的读音、释义及用法,是语言学习和写作的有利工具。

 

Copyright © 2004-2024 Ctoth.com All Rights Reserved
京ICP备2021023879号 更新时间:2026/4/16 21:19:17