网站首页  词典首页

请输入您要查询的字词:

 

字词 裙座和设备间的焊缝校核计算
类别 中英文字词句释义及详细解析
释义 裙座和设备间的焊缝校核计算

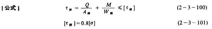
[说明]裙座和设备间焊缝主要是承受剪切力,如图2-3-18所示,其校核计算可用下式。

式中 τ——剪切应力(Pa)

A——焊缝承剪面积(m2)

t0——焊缝高度(m)

W——焊缝的断面模数(m3)

[σ]——裙座材料的许用应力(Pa)

其它同上

随便看

 

文网收录3541549条中英文词条,其功能与新华字典、现代汉语词典、牛津高阶英汉词典等各类中英文词典类似,基本涵盖了全部常用中英文字词句的读音、释义及用法,是语言学习和写作的有利工具。

 

Copyright © 2004-2024 Ctoth.com All Rights Reserved
京ICP备2021023879号 更新时间:2026/4/17 23:03:32