网站首页  词典首页

请输入您要查询的字词:

 

字词 西他利酮
类别 中英文字词句释义及详细解析
释义 西他利酮

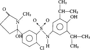
C23H29ClN2O5S=481.01

CAS-108894-39-9

(±)-2-氯-4′-羟-5-(2-羟-1-甲基-5-氧代-2-吡咯烷基)-3′,5′-二异丙基苯磺酰苯胺。

(±)-2-Chloro-4′-hydroxy-5-(2-hydroxy-1-methyl5-oxo-2-pyrrolidinyl)-3′,5′-diisopropylbenzenesulfonanilide.

利尿药,降血脂药。

Sitalidone.

INN,USAN.

随便看

 

文网收录3541549条中英文词条,其功能与新华字典、现代汉语词典、牛津高阶英汉词典等各类中英文词典类似,基本涵盖了全部常用中英文字词句的读音、释义及用法,是语言学习和写作的有利工具。

 

Copyright © 2004-2024 Ctoth.com All Rights Reserved
京ICP备2021023879号 更新时间:2025/10/16 23:33:37