西前列烯钙
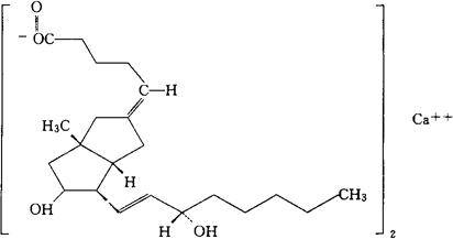
C44H70CaO8=767.12 CAS-81703-55-1 CAS-81845-44-5(ciprostene) [3aS-[2Z,3aα,5β,6α(1H,3R*),6aα]]-5-[六氢-5-羟-6-(3-羟-1-辛烯基)-3a-甲基-2(1H)-并环戊二烯亚基戊酸钙盐(2∶1)。 5-[Hexanydro-5-hydroxy-6-(3-hydroxy-1-octenyl)-3a-methyl-2(1H)-pentalenylidene,pentanoic acid,calcium salt(2∶1),[3aS-[2Z,3aα,5β,6α(1H,3R*),6aα]]-. (Z)-(3aS,5R,6R,6aR)-六氢-5-羟-6-[(E)-(3S)-3-羟-1-辛烯基]-3a-甲基-△2(1H),δ-并环戊二烯戊酸钙(1∶2)。 Calcium(Z)-(3aS,5R,6R,6aR)-hexahydro-5-hydroxy-6-[(E)-(3S)-3-hrdroxy-1-octenyl]3a-methyl△2(1H),δ-pentalenevalerate(1∶2). 抗血小板凝聚药。 Ciprostene Calcium,U-61,431F. INN(Ciprostene),USAN.  |