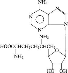
西奈芬净
C15H23N7O5=381.39 CAS-58944-73-3 (β-D-核)-6,9-二氨基-1-(6-氨基-9H-嘌呤-9-基)-1,5,6,7,8,9-六去氧-癸呋喃糖醛酸。 (β-D-ribo)-6,9-Diamino-1-(6-amino-9H-purin-9-yl)-1,5,6,7,8,9-hexadeoxy-decofuranuronic acid. 6,9-二氨基-1-(6-氨基-9H-嘌呤-9-基)-1,5,6,7,8,9-六去氧-β-D-核-癸呋喃糖醛酸。 6,9-Diamino-1-(6-amino-9H-purin-9-yl)-1,5,6,7,8,9-hexadeoxy-β-D-ribo-decofuranuronic acid. 核苷抗菌素,抗真菌药。 Sinefungin,Compound 57926,A 9145,RP 32232,Antibiotic A9145,Antibiotic 32232. INN,USAN.  |