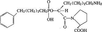
西罗普利
C21H33N2O6P=440.48 CAS-111223-26-8 (S)-1-[6-氨基-2-[[羟(4-苯丁基)膦基]氧]-1-氧代己基]-L-脯氨酸。 (S)-1-[6-Amino-2-[[hydroxy(4-phenylbutyl)phosphinyl]oxy]-1-oxohexy1]-L-proline. 1-[(2S)-6-氨基-2-羟己酰]-L-脯氨酸,氢(4-苯丁基)膦酸酯。 1-[(2S)-6-Amino-2-hydroxyhexanoyl]-L-proline,hydrogen(4-phenylbutyl)phosphonate(ester). 抗高血压药。 Ceronapril,SQ 29,852. INN,USAN. 
|