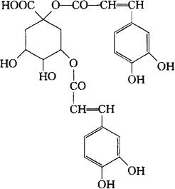
西那林
C25H24O12=516.46 CAS-1884-24-8 3,4-二羟肉桂酸1-羧-4,5-二羟-1,3-环己烯醇酯。 3,4-Dihydroxycinnamic acid,1-carboxy-4,5-dihydroxy-1,3-cyclohexylene ester. 1,5-双[[3-(3,4-二羟苯基)-1-氧代-2-丙烯基]氧]-3,4二羟环己烷羧酸。 1,5-bis[[3-(3,4-Dihydroxyphenyl)-1-oxo-2-propenyl oxy]-3,4-dihydroxycyclohexanecarboxyhc acid. 利胆药。用于降低胆固醇和脂蛋白。 菜蓟素,赛那林。 Cynarine,Plemocil,Nivellipid,Cynarex. INN,USAN,MI. 
|