网站首页  词典首页

请输入您要查询的字词:

 

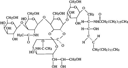
字词 西高苷
类别 中英文字词句释义及详细解析
释义 西高苷

C73H129N3O30=1528.83

CAS-100345-64-0

N-(113-N-乙酰神经氨基神经节四基)神经酰胺,分子内酯。

N-(113-N-Acetylneuraminosylgangliotetraosyl)ceramide,intramolecular ester.

神经节苷酯。

Siagoside,AGF2

INN,USAN.

随便看

 

文网收录3541549条中英文词条,其功能与新华字典、现代汉语词典、牛津高阶英汉词典等各类中英文词典类似,基本涵盖了全部常用中英文字词句的读音、释义及用法,是语言学习和写作的有利工具。

 

Copyright © 2004-2024 Ctoth.com All Rights Reserved
京ICP备2021023879号 更新时间:2026/5/31 20:45:42