网站首页  词典首页

请输入您要查询的字词:

 

字词 西鲁唑啉
类别 中英文字词句释义及详细解析
释义 西鲁唑啉

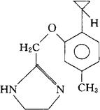
C14H18N2O=230.31

CAS-104902-08-1

2-[[(6-环丙基-间-甲苯基)氧]甲基]-2-咪唑啉。

2-[[(6-Cyclopropyl-m-tolyl)oxy]methyl]-2-imidazoline.

血管收缩药。

Cilutazoline.

INN,USAN.

随便看

 

文网收录3541549条中英文词条,其功能与新华字典、现代汉语词典、牛津高阶英汉词典等各类中英文词典类似,基本涵盖了全部常用中英文字词句的读音、释义及用法,是语言学习和写作的有利工具。

 

Copyright © 2004-2024 Ctoth.com All Rights Reserved
京ICP备2021023879号 更新时间:2025/10/17 22:31:36