计算天体的质量M
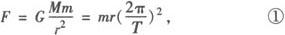
在天文学上,像太阳、地球等天体无法直接测定它们的质量M,但只要测出围绕它们运动的行星或卫星(统称环绕天体)的轨道半径r和周期T(r、T可直接测量出来),根据万有引力定律等知识,就可间接计算出天体的质量来. 若:设环绕天体质量为m,做圆周运动的轨道半径为r,公转圆周为T,则中心天体对环绕天体的万有引力提供了环绕天体做匀速圆周运动的向心力,由万有引力定律和匀速圆周运动知识(根据牛顿第二定律)得  得中心天体质量为  若已知环绕天体的轨道半径r及运行速度v,则由  解得中心天体质量  若已知环绕天体的运行速度v和公转周期T,则由  及❸ 式解得中心天体质量  ❷ ❹ ❻ 式都是计算中心天体质量M的公式. |