计算法
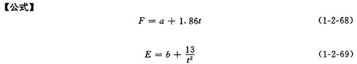
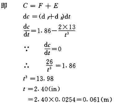
【说明】蒸煮器的保温层厚度的计算,可根据蒸煮器蒸煮时的热平衡进行。在此,介绍一种根据保温层费用来估算保温层厚度的方法。 表1-2-27 蒸球单位容积装球量    式中 F——蒸煮器保温层的固定费用(min/h) E——热能损失价格(min/h) C——保温层厚度总费用(min/h) a、b——常数 t——保温层厚度(in) 【例】对于某蒸煮器,其保温层固定费用和热能损失价格均遵循上述规律,若蒸煮器每年使用8500h,问保温层的最佳厚度为多少? 解:操作时间不是重要因素,可写出一个用保温层厚度表示的总费用C的公式,将C对厚度微分,令导数等于0,即可解出最佳保温层厚度t。  |