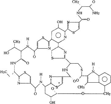
诺西肽
C51H43N13O12S6=1222.34 CAS-56377-79-8 N-[1-(氨基羰基)乙烯基]-2-[14-亚乙烯基-9,10,11,12,13,14,19,20,21,22,23,24,26,33,35,36-十六氢-3,23-二羟-11-(1-羟乙基)-31-甲基-9,12,19,24,33,43-六氧代-30,32-亚氨基-8,5∶18,15∶40,37-三次氮基-21,36-([2,4]-内-噻唑亚甲基亚氨基)-5H,15H,37H-吡啶并[3,2-w][2,11,21,27,31,7,14,17-苯并噁四硫杂三氮杂环三十六碳烷-2-基]-4-噻唑甲酰胺。 N-[1-(Aminocarbonyl)ethenyl]-2-[14-ethylidene-9,10,11,12,13,14,19,20,21,22,23,24,26,33,35,36-hexadecahydro-3,23-dihydroxy-11-(1-hydroxyethyl)-31-methyl-9,12,19,24,33,43-hexaoxo-30,32-imino-8,5∶18,15∶40,37-trinitrilo-21,36-([2,4]-endo-thiazolomethanimino)-5H,15H,37H-pyrido[3,2-w][2,11,21,27,31,7,14,17]-benzoxatetrathiatriazacyclohexatriacontin-2-yl]-4-thiazolecarboxamide. 抗生素类药,生长刺激药(动物)。 Nosiheptide,RP 9671,Nosipeptine,Multhiomycin,Primofax. INN,BAN,USAN.  |