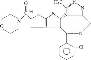
贝帕泛
C23H22ClN5O2S=467.97 CAS-114776-28-2 4-[[6-(邻-氯苯基)-8,9-二氢-1-甲基-4H,7H-环戊二烯并[4,5]噻嗯并[3,2-f]-均-三唑并[4,3-a][1,4]二氮杂 -8-基]羰基]吗啉。 4-[[6-(o-Chlorophenyl)-8,9-dihydro-1-methyl-4H,7H-cyclopenta[4,5]thieno[3,2-f]-s-triazolo[4,3-a][1,4]diazepin-8-yl]carbonyl]morpholine. 抗凝血药。 Bepafant. INN,USAN.  |