网站首页  词典首页

请输入您要查询的字词:

 

字词 贝美噻嗪
类别 中英文字词句释义及详细解析
释义 贝美噻嗪

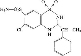
C15H16ClN3O4S2=401.88

CAS-1824-52-8

6-氯-3,4-二氢-3-(α-甲基苄基)-2H-1,2,4-苯并噻二嗪-7-磺酰氨1,1-二氧化物。

6-Chloro-3,4-dihydro-3-(α-methylbenzyl)-2H-1,2,4-benzothiadiazine-7-sulfonamide 1,1-dioxide.

利尿药。

Bemetizide.

INN,BAN,USAN.

随便看

 

文网收录3541549条中英文词条,其功能与新华字典、现代汉语词典、牛津高阶英汉词典等各类中英文词典类似,基本涵盖了全部常用中英文字词句的读音、释义及用法,是语言学习和写作的有利工具。

 

Copyright © 2004-2024 Ctoth.com All Rights Reserved
京ICP备2021023879号 更新时间:2026/4/16 21:52:22