贝那普利拉
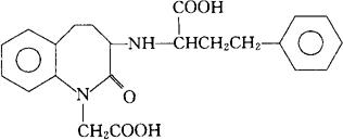
C22H24N2O5=396.44 CAS-86541-78-8 3-[(1-羧基-3-苯-丙基)氨基]-2,3,4,5-四氢-2-氧-1H-1-苯并氮杂 -1-醋酸,[S-(R*,R*)]。 3-[(1-Carboxy-3-phenylpropyl)amino]-2,3,4,5-tetrahydro-2-oxo-1H-1-benzazepine-1-acetic acid,[S(R*,R*)]-. (3S)-3-[[(1S)-羧基-3-苯丙基]氨基]-2,3,4,5-四氢-2-氧-1H-1-苯并氮杂 -1-醋酸。 (3S)-3-[[(1S)-1-Carboxy-3-phenylpropyl]amino]-2,3,4,5-tetrahydro-2-oxo-1H-1-benzazepine-1-acetic acid. 抗高血压药。 Benazeprilat,CGS 14831. INN,USAN.  |