网站首页  词典首页

请输入您要查询的字词:

 

字词 财政赤字与通货膨胀的关系:发达国家与发展中国家的差异
类别 中英文字词句释义及详细解析
释义 财政赤字与通货膨胀的关系:发达国家与发展中国家的差异

【内容介绍】:

1.引言

财政赤字与通货膨胀之间的关系一直是宏观经济学关注的核心问题之一,对于财政赤字是否会引起通货膨胀众说纷纭,至今莫衷一是。

不过,大多数经济学家对财政赤字引起通货膨胀的两个机制似乎达成了共识:第一,一般认为,货币供给增长率影响通货膨胀;在其他条件不变的情况下,如果财政赤字引起货币供给增加,就可能导致通货膨胀压力。第二,在政府债务规模很大且增长较快的情况下,财政赤字很可能产生通货膨胀压力。特别是在20世纪80年代一些发展中国家出现债务危机之后不久,通货膨胀加速,甚至出现恶性通货膨胀,以致一些政府债务增长较快的主要工业化国家也产生了这样的疑虑:现行的财政政策是否能够长期可持续下去。

然而,20世纪80年代以来出现的一个令人感兴趣的现象是:在某些最发达的工业化国家(突出表现在美国),财政赤字达到历史最高水平,而通货膨胀率却不断下降;在一些发展中国家(特别是拉丁美洲国家),尽管实施了严格的财政紧缩措施,但通货膨胀率却急剧上升。

我们如何解释发达国家与发展中国家之间的这种差异?这种差异对于我们深入了解财政赤字与通货膨胀之间的关系有什么意义?

本文依据康格多恩(Congdon,1987,p.72-92)的分析,首先从长期稳定状态下预算赤字与货币国民收入增长间关系的最简单的一般表述开始,从政府债务与国民收入的比率(债务-收入比率)角度,比较分析财政赤字-通货膨胀关系在发展中国家与发达国家之间的差异。然后,引入货币因素,从金融控制角度,比较分析这种差异。

2.财政赤字与通货膨胀的简单关系

在长期稳定状态下,债务-收入比率不变。令a代表不变的债务-收入比率,也就是说,

D=aY

以及

△D=a△Y

式中,D代表政府债务,Y代表国民收入,△代表各变量的变化。

通常,债务的变化等于预算赤字(用B表示),因此,

显然,式中的△Y/Y就是货币国民收入增长率,它等于价格上涨率加上实际产出增长率。如果用i和g分别代表通货膨胀率和实际产出增长率,我们就得到:

为了阐述方便,假定所有国家的经济增长率都相同,比如说每年为x%。又假定,发展中国家、中等发达国家和发达国家的实际利率等于增长率时的债务-收入比率分别是a′、a″和,这可以说是债务-收入比率的临界值。

倘若债务-收入比率位于或低于其临界值,财政政策是可持续的;倘若债务-收入比率一超过其临界值,财政政策就是不可持续的。可以说,临界债务-收入比率就是最大值。

5.发达国家与发展中国家间债务-收入比率差异的含义

我们在讨论预算赤字与通货膨胀之间的简单的理论关系时,业已看到,本国居民对政府债券的需求越大(以占国民收入的比率度量),对外信誉度越高,财政赤字的通货膨胀压力就越小。通过比较发达国家与发展中国家的债务-收入比率的决定因素,我们便能理解这个结论对财政政策措施的重要性。由于发展中国家的债务-收入比率比较低,发展中国家的政府采取赤字融资的余地很小,除非能够获得外资。

在发达国家,由于债务-收入比率比较高,赤字融资规模可以很大而不会产生通货膨胀压力。发达国家采取的所谓恢复景气措施或供给面减税的余地也被其在国际金融市场上的良好声誉所扩大,这些声誉使它们能够没有多大困难就能积累持续且大量的国际收支赤字。

康格多恩(Congdon,1987)指出,这种差异的含义之一是:低债务-收入比率和有限的外部资金限制了政府举债的能力,平衡预算法则成为组织财政的明智方法,并有效地杜绝使用“财政政策”作为需求管理的工具。

这种差异的含义之二是:有些经济学家极力主张凯恩斯主义的财政政策思想无论是对发达国家还是对发展中国家都普遍适用(Eshag,1983),但实际上按凯恩斯主义的思路实施赤字财政计划的成功条件在当今的贫穷和落后国家不存在。

6.货币因素

到目前为止,我们一直从财政角度来讨论通货膨胀,这在稳定状态分析中(即假定比率不变,只集中于变化率)是可能的。特别是在考察财政政策与通货膨胀之间的关系时,能够固定债务-收入比率非常有帮助。但是,在现实中,债务-收入比率是变化的,而且,尽管可以说出其决定因素,但其取值范围非常大。

更为正规的方法是,依据货币需求的经验可观测稳定性更有说服力,这种方法强调把货币供给作为影响价格上涨率的主要因素。货币供给-国民收入比率不是常数,但它比债务-收入比率更接近于常数。

然而,财政方法与货币方法之间不一定就存在著矛盾。可以证明(如果某些条件得到满足),预算赤字规模的变化会伴随著货币扩张率的变化,而且,二者的变化的方向应当是相同的。不过,财政政策与货币政策之间的关系在发达国家与在发展中国家是不同的。

在发达国家,银行体系技术先进,相对不受政府管制,通常为大多数人所使用。大多数银行存款不是为了交易目的而持有,而是作为一种储蓄形式,而且有息存款比无息存款多得多。尽管强调国家之间的差异,但一个明显的情况是政策决策至少在一定程度上基于广义货币总量的行为:

△Mb=B-△D*+△L-N-X (3)

式中各符号的经济含义是:

△Mb——广义货币(一般指M3)

L——银行借给私人部门的贷款

D*——非银行公众持有的政府债务

N——非存款负债的变化

X——各种对外交易的影响

由于N一般很小,又因为大多数发达国家在长期不依赖外国资金,所以,这两个因素都可以忽略。

因此,(3)式可以简化为:

△Mb=B-△D*+△L

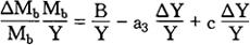
令D*和L占国民收入的比率分别是常数a3和c,这样,它们的增量就可以用国民收入的增量来表示,并对上述方程式的两边同除以Y,得到:

倘若在均衡中,货币供给增长率(△Mb/M)等于国民收入增长率(△Y/Y),那么,经过整理可得:

方程式(4)表明,如果

那么,货币供给增长率是预算赤字-收入比率的正函数;而上述条件总是成立,因为广义货币存量大于未偿还银行贷款总额。同时,还可以清楚地看到,如果货币供给-收入比率、债务-收入比率和银行贷款-收入比率是稳定的,那么,预算赤字-收入比率的提高将伴随著广义货币增长率的等比例提高。对经济发达国家来说,由于这些国家的银行体系很发达,广义货币-收入比率非常高,故通货膨胀的财政理论与货币理论并不矛盾。

然而,方程式(4)并不特别适于分析发展中国家的通货膨胀,因为在发展中国家,银行体系之外一般没有针对公债的市场,政府债务-收入比率a3很低。

银行当然可以向私人部门提供贷款,但金融机构的落后性,也就是麦金农(Mckinnon,1973)所概括的“金融压抑”(financial repression),使得这种贷款规模不可能很大。结果,银行贷款-收入比率c也很低,而且非常不稳定。

大多数银行存款都是出于交易目的而被持有,狭义货币(即无息活期存款)占全部货币余额的比例相当高。在最穷的发展中国家,金融体系非常原始,以致于中央银行既是私人部门的主要资金来源,又是调节过程的主要参与者。

狭义货币具有很低的且稳定的中央银行负债的倍数。因此,通过考察这种负债增长的推动因素,我们就可以分析通货膨胀。很多经济学家认为,无论是在发达的经济中还是在发展中的经济中,通货膨胀是由高能货币存量的变化驱动的。然而,康格多恩(Congdon,1981a,1981b)则认为,这种说法不适于发达经济,在这种经济中,银行存款非常高,而且没有高能货币的稳定倍数,货币供给过程的最重要的特征是银行信贷的扩张对广义货币的影响。

通常,高能货币-收入比率在发展中国家比在发达国家要高,而广义货币-收入比率则比较低。

现在,我们也可以表达高能货币的信用对等恒等式:

△H=B-△D*-△D**+△Lh+△R (5)

式中各符号的经济含义是:

H——高能货币(假定相当于全部中央银行的负债)

D**——出售给银行体系的政府债务

Lh——中央银行向私人部门的贷款

R--外汇储备

与方程式(4)的推导类似,我们利用高能货币增长率等于国民收入增长率这种均衡性质,得到:

预算赤字-收入比率与高能货币增长率之间存在著稳定状态关系,其中,D*、D**、Lh和R占国民收入的比率不变,分别是a3、a4、d和r。这种关系说明通货膨胀的财政理论与货币理论是相容的,这与某些经验研究结果相一致(Edwards,1983,p.477-485)。

不过,预算赤字与货币条件之间的联系在发展中国家不如在发达国家可靠,因为一些有关的比率(如高能货币-收入比率、政府债务-收入比率、银行贷款-收入比率以及外汇储备-收入比率)比(例如)货币供给-收入比率的波动可能性更大。

倘若外汇储备消耗殆尽,且向私人部门贷款的机会也不复存在,亦即d=0,r=0,那么,赤字财政对通货膨胀的影响由高能货币-收入比率和政府债务-收入比率的值所决定。倘若对政府没有信心,那么,这些比率将很低,特别是与发达国家的货币供给-收入比率和政府债务-收入比率相比更是如此。

这些比率越低,任何特定的预算赤字-收入比率所导致的通货膨胀率就越高。这一结论与我们上述的分析相一致。

就拿阿根廷和意大利在20世纪80年代初期的情况相比,阿根廷的政府债务-收入比率下降到3%左右,但低于意大利的预算赤字-收入比率却使通货膨胀率高达1000%。意大利之所以没有出现恶性通货膨胀,是因为意大利公民愿意持有政府债务,其规模相当于国民收入。在这种情况下,阿根廷就需要平衡预算(Congdon,1985,p.46-53)。应当指出,在决定通货膨胀率时,财政方法与货币方法之间仍然存在著明显的冲突。

倘若n=△Y/Y,那么,在财政部门,

dn/db=1/a

在货币部门,

dn/db=1/[(M/Y)+a3-c]

这看起来有点奇特,但实际上是一致的。我们知道,在大多数发达国家,M/Y与c没有多大差异,而且政府债务既包括银行和海外持有的债务,也包括本国非银行公众持有的债务,也就是说,a≠a3,这样,这两种答案之间的差异就不难理解了。注意,如果(M/Y)-c=a4,其中,a4是银行持有的政府债务,那么,(M/Y)+a3-c=a4+a3=a1

7.结语

赤字财政的规模受到中期和长期通货膨胀危险的约束。

倘若一国的经常账户出现了国际收支赤字,这种危险就可以避免,但随之可能易受外国资金撤离的影响。的确,拉丁美洲在20世纪80年代的经历表明,来自外国的资本内流的减少,不仅恶化了生活水平,而且在缺乏削减预算赤字的有效措施的情况下,还会加速通货膨胀。

所以,当政府的预算赤字过大时,就要在通货膨胀与国际收支赤字这两种祸害之间做出选择。

在一个其储蓄者(无论是本国储蓄者还是外国储蓄者)对政府的偿债能力有信心的国家,很容易容纳较大的预算赤字。储蓄者对政府的信任原因很多,集中表现在债务-收入比率上,而发达国家一般比发展中国家的债务-收入比率高。由此可见,发展中国家比发达国家更常遇到在通货膨胀与对外不平衡之间做出痛苦的选择。

发达国家的政府能够把大量预算赤字与持续下降的通货膨胀协调在一起,因为其债务-收入比率很高且不断上升,而发展中国家的政府就没有这种运气了。

然而,储蓄者对发达国家的政府的信任并不是注定不变的。

如果在金融上持续表现出没有责任感,这种信任就会动摇。倘若预算赤字过大,时间太长,债务-收入比率的提高就会引起债券持有者的要求权超出纳税人的承受能力,政府只得通过通货膨胀来降低债务的实际价值(Moggridge and Johnson,1972;Sargent and Wallace,1984)。通货膨胀会削弱储蓄者在将来持有政府债务的意愿,而较低的债务-收入比率限制了财政政策的作用余地,这一点无论是对发达国家还是对发展中国家都是如此。

【参考文献】:

财政赤字对通货膨胀的影响:理论分析(Effects of Fiscal Deficit on Inflation:Theoretical Analysis)

多马债务负担模型(Domar Debt Burden Model)

Agtmael,A.W.van.,1984,EmergingSecurities Markets, Euromoney Publications.

Burns, T.,1985, Hamstrung by Syphoning of Deposits,Financial Times, 3 April.

Congdon, T. G., 1981a, First Princip; es of Central Banking, The Banker 131.

Congdon, T. G., 1981b, Is the Provision of a Sound Currency a Necessary Function of the State, National Westminster Quarterly Review.

Congdon, T. G., 1984, The Analytical Foundations of the Medium-Term Financial Strategy, in M. Keen, ed., The Economy and the 1984 Budget, Blackwell.

Congdon, T. G., 1985, Economic Liberalism in the Cone of Latin America, Trade Policy Research Centre.

Congdon, T. G., 1987, The Link Between Budget Deficits and Inflation: Some Contrasts Between Developed and Developing Countries, in M. J. Boskin, J. S. Flemming, and S. Gorini, eds., Private Saving and Public Debt, Basil Blackwell.

Edwards, S., 1983, The Short-Run Relation Between Growth and Inflation in Latin America: A Comment, American Economic Review 73.

Eshag, E., 1983, Fiscal and Monetary Policies and Problems in Developing Countries, Cambridge University Press.

Mckinnon, R. I., 1973, Money and Capital in Economic Development, Brookings Institution,

Moggridge, D. and E. Johnson, 1972, The Collected Writings of John Maynard Keynes, vol. 9, Essays in Persuasion, Macmillan.

Monti, M. and B. Siracusano, 1980, The Public Sector' s Financial Intermediation, the Composition of Credit and the Allocation of Resources, Tilburg.

Sargent, T. J. and N. Wallace, 1984, Some Unpleasant Monetarist Arithmetic, in B. Griffiths and G. E. Woods, eds. , Monetarism in the United Kindgom, Macmillan.

Sherwell, C., 1984, Quiet Revolution in Monetary Policy,Financial Times, 30 April.

随便看

 

文网收录3541549条中英文词条,其功能与新华字典、现代汉语词典、牛津高阶英汉词典等各类中英文词典类似,基本涵盖了全部常用中英文字词句的读音、释义及用法,是语言学习和写作的有利工具。

 

Copyright © 2004-2024 Ctoth.com All Rights Reserved
京ICP备2021023879号 更新时间:2025/10/19 17:22:47