货币需求函数
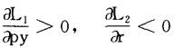
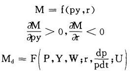
描述货币需求与影响其变动的因素之间的对应关系式。 货币需求函数旨在说明货币需求与影响其变动的主要因素(由经济活动复杂性所致)之间的关系,货币需求函数可按两种方式建立:一是沿凯恩斯将货币需求分求交易性、预防性和投机性货币需求而分别建立函数的方法;一是像弗里德曼那样对货币的需求视为和对其他一般商品需求相同,而按一般需求分析建立函数。 凯恩斯式货币需求函数: L=L1(py)+L2(r)  L为总货币需求,L1为交易性和预防性货币需求,L2为投机性货币需求,p为价格水平,y为实际收入,r为债券利率,经凯恩斯学派加以发展的货币需求函数式为:  则是货币主义代表人物弗里德曼提出的货币需求函数,P,r的含义同上,W为非人力财富占财富比重,Y为恒久性收入,dp/pdt为价格变动率,U为其他因素。 这种函数形式的涵义非常明显,即指主体在财富约束下追求效用极大化的需求函数。 |