网站首页  词典首页

请输入您要查询的字词:

 

字词 资本资产定价模型
类别 中英文字词句释义及详细解析
释义 资本资产定价模型

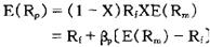
由约翰·林特、威廉·夏普等人提出的一种与风险相关的股票定价方法论。假定投资者投资于两种资产组合:一种是风险资产组合,比例为X;另一种是无风险资产组合,比例为1-X。资产组合的β值为:

根据同一原理,资产组合的预期收益是各种资产预期收益的加权平均值,即:

式中,E(Rp)为资产组合的预期收益;E(Rm)为市场的预期收益;Rf为无风险利率。

该模型表明组合资产的预期收益会高于无风险利率,高出的数额是风险投资组合β值的一定比例。风险和收益之间存在著一种线性关系。

随便看

 

文网收录3541549条中英文词条,其功能与新华字典、现代汉语词典、牛津高阶英汉词典等各类中英文词典类似,基本涵盖了全部常用中英文字词句的读音、释义及用法,是语言学习和写作的有利工具。

 

Copyright © 2004-2024 Ctoth.com All Rights Reserved
京ICP备2021023879号 更新时间:2026/4/19 10:49:35