赛洛非康A
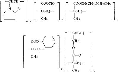
(C6H9NO)v(C5H8O2)w(C8H14O3)x(C10H16O2)y(C7H10O2)z CAS-84329-47-5 1-乙烯基-2-吡咯烷酮,与2-甲基-2-丙烯酸甲酯,2-甲基-2-丙烯酸2-乙氧基乙酯,2-甲基-2-丙烯酸环己基2-甲基-2-丙烯酸酯和2-丙烯基2-甲基-2-丙烯酸酯的共聚物。 2-Pyrrolidinone,1-ethenyl-,polymer with methyl 2-methyl-2-propenoate,2-ethoxyethyl 2-methyl-2-propenoate,cyclohexyl 2-methyl-2-propenoate and 2-propenyl 2-methyl-2-propenoate. 1-乙烯基-2-吡咯烷酮与异丁烯酸甲基酯,异丁烯酸2-乙氧基乙酯,异丁烯酸环己基酯和异丁烯酸烯丙基酯的共聚物。 1-Vinyl-2-pyrrolidinone polymer with methyl methacrylate,2-ethoxyethyl methacrylate,cyclohexyl methacrylate and allyl methacrylate. 隐形眼镜材料(亲水性)。 Xylofilcon. USAN.  |