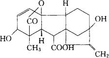
赤霉素A3[中]
C19H22O6=346.37 CAS-77-06-5 2,4α,7-三羟基-1-甲基-8-亚甲基赤霉-3-烯-1,10-二羧酸1,4α-内酯。 2,4α,7-Trihydroxy-1-methyl-8-methylenegibb-3-ene-1,10-dicarboxylic acid 1,4α-lactone. 激素类药。用于胃及十二指肠溃疡、再生障碍性贫血等。 赤霉素,九二〇。 Gibberellin A3,Gibberellic Acid. 赤霉素A3片,赤霉素生发水(九二〇生发水),赤霉素注射液(赤霉素A3注射液,九二〇注射液),赤霉素软膏(九二〇软膏)。 MI.  |