网站首页  词典首页

请输入您要查询的字词:

 

字词 连续时间系列指数平滑法
类别 中英文字词句释义及详细解析
释义 连续时间系列指数平滑法

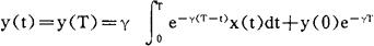
设给定的时间系列x(t)是由连续观测值或连续数值构成,y(t)是x(t)的指数平滑平均数。

如果对应于时间t=T时,y(t)是由下式求得:

则称此求y(T)的方法为连续时间系列指数平滑法。其中,γ称为平滑常数,其变化范围为0<γ<∞。

连续指数平均数具有以下性质:考虑到连续时间延伸到无穷大,并将任一时刻之观测值看作连续随机变量X,其指数平滑平均数也是一种连续随机变量,且它的期望值等于观测值的期望值,即E(x)=E〔Y(T)〕。

随便看

 

文网收录3541549条中英文词条,其功能与新华字典、现代汉语词典、牛津高阶英汉词典等各类中英文词典类似,基本涵盖了全部常用中英文字词句的读音、释义及用法,是语言学习和写作的有利工具。

 

Copyright © 2004-2024 Ctoth.com All Rights Reserved
京ICP备2021023879号 更新时间:2026/1/15 17:30:04