网站首页  词典首页

请输入您要查询的字词:

 

字词 逆流色谱的基本关系式
类别 中英文字词句释义及详细解析
释义 逆流色谱的基本关系式

逆流色谱(CCC)是一种特殊形式的液-液分配色谱。

它不使用固体支持介质、柱材料中空的聚四氟乙烯管(PTFE)或玻璃管。选用不相混溶的两相溶剂系统,其中一相作为固定相并依靠重力或离心力保留在柱中,另一相则作为流动相。

被分离的条组分依据其在两相中的分配系数的差异得到分离。

由于CCC不使用固体支持介质,因而避免了因不可逆吸附而引起的样品损失、失活变性及失真等,使得样品可以全部回收。

CCC的发展最早可以追溯到1934年,R.D.Cornish等研制了一种室状CCC柱并用来纯化油溶性维生素。1944年L.C.Craig发明了不连续的逆流分配(CCD)装置并应用到有机化学及生物化学领域。

到1966年日本的Y.Ito等人将离子力引入CCD仪器系统而研制出螺管行星离心CCC装置,从而推动了CCC的发展。进入70年代后,CCC技术发展迅速,约有十几种CCC仪器相继问世,其中应用最为广泛的是液滴逆流色谱(DCCC),它主要用于天然产物的制备分离。

80年代初期,新的流体力学现象的发现促使高速逆流色谱HSCCC问世。不论是分离效率还是分离速度,HSCCC都比其它CCC有很大提高,甚至可以和制备HPLC相媲美。CCC已发展成为用于分析目的的制备型CCC系统和用于分析目的的分析型CCC系统,以及适用于蛋白质等生物大分子分离的泡沫逆色谱系统等,成为HFLC的重要补充。

一般来讲,色谱各参数的定义及其相互间的数学关系可以直接用于CCC。

但是,CCC与其它色谱的区别又决定了CCC理论中部分参数之间的独特关系,

1.容量因子k′。同其它色谱一样,CCC的容量因子k′定义为固定相中容质的量(Qs)与流动相中溶质的量(Qm)之比

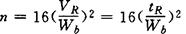
2.柱效n。

CCC的柱效应用理论塔板数n表示:

式中Wb为色谱峰的基线宽度,VR、tR分别为溶质的保留体积与保留时间。

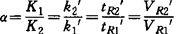
3.分离因子。分离因子α被定义为需分离溶质对的分配系统K1、K2,容量因子K′1、K′2,调整保留时间tR1′、tR2′或调整保留体积VR1′、VR2′的比率,表示为

其中,K2>K1,k2′>k1′,tR2′>tR1′,VR2′>VR1

4.分配系数。CCC由于消除了固体支持介质,使用不相混溶的两相溶剂系统,分离完全取决于液-液分配。因此分配系数K是它的最基本参数。溶质的保留可以通过溶质的分配系数及柱中流动和固定相的体积来预测分配系数K的定义为K=固定相中溶质的浓度(Cs)与流动相中溶质的浓度(Cm)之比。

K与K′的关系可表示为:

式中Vs和Vm分别是在CCC柱内两相达到平衡时固定相和流动相的体积。

5.固定相占柱总体积的分数SF

设柱子的总体积为Vs,则Vc=Vs+Vm于是得到:

6.溶质保留时间tR与保留体积VR。设溶质经过整个柱子所需时间(即溶质保留时间)为tR,其中在流动相中的时间为tm,在固定相中的时间为ts,溶质的保留体积为VR

7.分辨率Rs

在CCC中,相邻两峰分辨率Rs,定义为

式中VR1与VR2分别为两溶质的保留体积,且VR1>VR2,△V与△t分别为两溶质的保留体积差和保留时间差,Wb2和Wb1分别是两溶质峰的基线宽度。根据色谱的Knax方程,Conway和Ito从分辨率的定义可以导出CCC的分辨率方程为

其中K1是所需分离溶质对中的第1个溶质的分配系数。当SF减小时,由于Vs也减小,这就使得K<1及K>1的溶质峰移向位置不变的K=1的溶质峰,使Rs降低。在极端情况下SF=0,也就是Vs=0,柱中只含单一相——流动相,所有溶质峰将出现在Vc处,Rs=0。

相反,当SF增大时,(K1-K2)Vs也增大,使Rs提高。SF对Rs的影响是通过影响k′值而实现的。

在现代CCC装置中,SF值一般在0.4~0.9之间。

为了使分离所需时间减至最小,HPLC中的k′值的最佳范围通常认为是1~5,理想值是2。它同样也适用于CCC。对于SF=0.4,K=1.5k′而言,K值最佳范围为1.5~7.5,最佳值为3;对于SF=0.8,K=2.5κ′,K值最佳范围为0.25~1.25,最佳值为0.5。

无论怎样,好的CCC分离总是用较低的K值在较短的时间取得成功的分离。

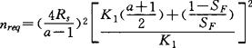
8.分离所需的理论塔板数nreq

不同K1、a及SF值时达到不同分辨率所需的理论塔板数nreq

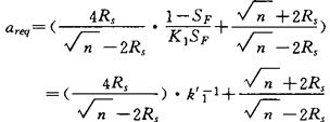
9.分离所需的分离因子areq

W.D.Conway(1988)利用这两个方程计算出不同k′1(或K1)、SF和n时达到基线分离(Rs=1.5)所需要的分离因子。当K1和n一定时,随著SF的增加,areq降低;随著柱长变小n的降低,arep将增大。据此选择适合特定样品分离的CCC的溶剂系统。

从CCC的基本理论可以看出,分配系数K、固定相所占柱总体积的分数SF及分离因子a,是CCC的最基本参数;由K1、SF及Vc可预测溶质的保留参数;由K1、SF、a及n可预测两溶质峰的分辨率;根据Rs、nreq、areq等的方程可选择适合特定样品分离的CCC仪器和溶剂系统。

(中国科学院兰州化学物理研究所杨福全撰)

随便看

 

文网收录3541549条中英文词条,其功能与新华字典、现代汉语词典、牛津高阶英汉词典等各类中英文词典类似,基本涵盖了全部常用中英文字词句的读音、释义及用法,是语言学习和写作的有利工具。

 

Copyright © 2004-2024 Ctoth.com All Rights Reserved
京ICP备2021023879号 更新时间:2025/10/17 21:51:31