网站首页  词典首页

请输入您要查询的字词:

 

字词 通光散
类别 中英文字词句释义及详细解析
释义 通光散

【名称出处】:《云南中草药选》

【概况】:

异名 鸟骨藤、黄木香、下奶藤(《云南中草药选》),大苦藤、地甘草(《云南思茅中草药选》),扁藤、白暗消(《江河中草药》)。

基源 为萝藦科牛奶菜属植物通光散的藤、根或叶。牛奶菜属全世界约100种;中国产22种、5变种,其中药用的有7种。

原植物 通光散Marsdenia tenacissima(Roxb.)Wight et Arn.(Asclepias tenacissima Roxb.),又名黄桧、勒藤(云南)。

形态 坚韧木质藤本;茎密被柔毛。

叶宽卵形,长和宽15~18cm,基部深心形,两面均被茸毛,或叶面近无毛。伞形状复聚伞花序腋生,长5~15cm;花萼裂片长圆形,内有腺体;花冠黄紫色;副花冠裂片短于花药,基部有距;花粉块长圆形,每室1个直立,著粉腺三角形;柱头圆锥状。

蓇葖长披针形,长约8cm,直径约1cm,密被柔毛;种子顶端具白色绢质种毛。花期6月,果期11月。(图见《中国高等植物图鉴》.第3册.503页.图4959)

生境与分布 生于海拔2000m以下的疏林中。

分布于贵州、云南。。【生药】:

采集 茎藤秋、冬季采收,刮去栓皮,晒干。根全年可采挖。

【化学】:

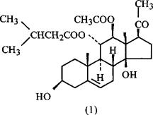
藤、种子含有多种C21甾甙元:通光藤甙(Tenacigenin)A、B、C[1~4],苦绳甙元(Drevogenin)Q即11-O-Isovaleryl-12-O-acetyldrevogenin P(1)[5],Cissogenin[6],Tenasogenin[7];另有D-加大麻糖(D-Cymarose)、马利筋双糖(Asclepobiose)、D-Cancarose、3-O-Methyl-6-deoxy-D-allose[5]

参考文献 [1] 植物学报 1980;22(1):67 [2] 云南植物研究 1981;3(3):271 [3] CA 1983;99:71081g [4] CA 1981;94:4160r [5] Indian J Chem Sect B 1980;19B(3):178 [6] Phytochemistny1980;19(11):2427,2431 [7] Indian J Chem Sect B 1980;19B(3):358

【药理】:

❶ 对呼吸系统的作用 豚鼠ip通光散甙(本品茎部分离出的苦味甾体酯甙)100mg/kg,有一定的平喘作用(组胺喷雾引喘法)。

家兔iv60mg/kg,能对抗组胺1倍的致死量。离体豚鼠支气管灌流试验表明,能使组胺引起的气管痉挛松弛,还能减弱组胺引起的豚鼠离体肠管收缩。
❷ 其它作用 麻醉犬iv通光散甙有短暂、轻度的降压作用,无快速耐受现象,其降压似与中枢无关;离体兔耳血管灌流试验表明,它能直接扩张血管。

毒性 小鼠ig通光散甙1500mg/kg,未见中毒和死亡。小鼠iv的LD50为247±28.61mg/kg。

参考文献 中药大辞典.下册.上海人民出版社,1977:1976

【药性】:

性味 ❶ 《云南中草药选》:“苦,微寒。”
❷ 《红河中草药》:“苦、微甘,凉。”

功效 清热解毒,止咳平喘。

主治 肺炎,支气管炎,支气管哮喘,咽喉炎,扁桃体炎,膀胱炎,疔疮肿毒。 ❶ 《云南中草药选》:“消炎,止咳,平喘,抗癌。治支气管炎,支气管哮喘,各种癌症,风湿,跌打,骨折,眼底疾患,胃病。”
❷ 《云南思茅中草药选》:“清热解毒,消炎止痛。治咽喉炎,胃肠积热,肺炎,扁桃体炎,膀胱炎。”
❸ 《贵州药用植物目录》:“活血生肌,催乳,止咳。治咳嗽,跌打,筋断骨折,乳少。”

用法用量 内服:煎汤,9~15g。

外用:捣敷。

【临床应用】:

方选和验方 ❶ 《云南中草药选》:“治各种癌症:通光散30~45g,白胡椒10粒。煎服。”
❷ 《全国中草药汇编》:“治食道癌、贲门癌、宫颈癌、何杰金氏病等:通光散9~120g。水煎3个小时以上,煎液分3次服,每日1剂。”
❸ 《全国中草药汇编》:“治慢性气管炎:通光散、扑树各等量,共研细粉。每服6g,每日2次。”
❹ 《全国中草药汇编》:“治慢性气管炎:通光散(熬成10∶1流浸膏)60%,石椒草(生粉)30%,灯台树皮(生粉)10%。混合压片,每片含0.5g(含通光散生药3g)。每日3次,每次5片,15天为1疗程。”

单方应用 ❶ 《中药大辞典》下册:“治慢性气管炎:取通光散30~90g,加水500ml,煎至100~150ml,每日分3次服;或制成浸膏片,每片0.5g,每日3次,每次2~3片。”
❷ 《云南思茅中草药选》:“治喉头炎,口腔溃烂:大苦藤(即通光散)泡水服。”
❸ 《红河中草药》:“治胃炎,胃痛,黄疸型肝炎:扁藤(即通光散)根茎30g。水煎服。


❹ 《云南经济植物》:“治疔疮肿毒:通光散鲜叶适量。捣烂外敷。

随便看

 

文网收录3541549条中英文词条,其功能与新华字典、现代汉语词典、牛津高阶英汉词典等各类中英文词典类似,基本涵盖了全部常用中英文字词句的读音、释义及用法,是语言学习和写作的有利工具。

 

Copyright © 2004-2024 Ctoth.com All Rights Reserved
京ICP备2021023879号 更新时间:2025/10/17 18:40:33